Identification
| Name |
Lys(8)-Oxytocin |
| Synonyms |
(2S)-1-[(4R,7S,10S,16S,19R)-19-Amino-7-(2-Amino-2-Oxo-Ethyl)-10-(3-Amino-3-Oxo-Propyl)-16-[(4-Hydroxyphenyl)Methyl]-6,9,12,15,18-Pentaoxo-13-Sec-Butyl-1,2-Dithia-5,8,11,14,17-Pentazacycloicosane-4-Carbonyl]-N-[(1S)-5-Amino-1-[(2-Amino-2-Oxo-Ethyl)Carbamoyl]Pentyl]Pyrrolidine-2-Carboxamide; (2S)-N-[(1S)-5-Amino-1-[[(2-Amino-2-Oxoethyl)Amino]-Oxomethyl]Pentyl]-1-[[(4R,7S,10S,16S,19R)-19-Amino-7-(2-Amino-2-Oxoethyl)-10-(3-Amino-3-Oxopropyl)-16-[(4-Hydroxyphenyl)Methyl]-6,9,12,15,18-Pentaoxo-13-Sec-Butyl-1,2-Dithia-5,8,11,14,17-Pentazacycloicos-4-Yl]-Oxomethyl]-2-Pyrrolidinecarboxamide; (2S)-1-[(4R,7S,10S,16S,19R)-19-Amino-7-(2-Amino-2-Keto-Ethyl)-10-(3-Amino-3-Keto-Propyl)-16-(4-Hydroxybenzyl)-6,9,12,15,18-Pentaketo-13-Sec-Butyl-1,2-Dithia-5,8,11,14,17-Pentazacycloicosane-4-Carbonyl]-N-[(1S)-5-Amino-1-[(2-Amino-2-Keto-Ethyl)Carbamoyl]Pentyl]Pyrrolidine-2-Carboxamide |
|
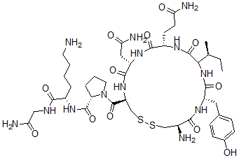
| Molecular Structure |
 |
| Molecular Formula |
C43H67N13O12S2 |
| Molecular Weight |
1022.20 |
| CAS Registry Number |
4273-93-2 |
| SMILES |
[C@@H]3(N(C(=O)[C@H]1NC(=O)[C@@H](NC(=O)[C@@H](NC(=O)C(NC(=O)[C@@H](NC(=O)[C@@H](N)CSSC1)CC2=CC=C(O)C=C2)[C@H](CC)C)CCC(=O)N)CC(=O)N)CCC3)C(=O)N[C@H](C(=O)NCC(=O)N)CCCCN |
| InChI |
1S/C43H67N13O12S2/c1-3-22(2)35-42(67)51-27(13-14-32(46)58)38(63)53-29(18-33(47)59)39(64)54-30(21-70-69-20-25(45)36(61)52-28(40(65)55-35)17-23-9-11-24(57)12-10-23)43(68)56-16-6-8-31(56)41(66)50-26(7-4-5-15-44)37(62)49-19-34(48)60/h9-12,22,25-31,35,57H,3-8,13-21,44-45H2,1-2H3,(H2,46,58)(H2,47,59)(H2,48,60)(H,49,62)(H,50,66)(H,51,67)(H,52,61)(H,53,63)(H,54,64)(H,55,65)/t22-,25-,26-,27-,28-,29-,30-,31-,35?/m0/s1 |
| InChIKey |
KYAVDXJYBQPLOR-OMTOYRQASA-N |
|