Identification
| Name |
Deoxyadenylyl-(3'-5')-Deoxyguanosine |
| Synonyms |
[(2R,3S,5R)-5-(2-Amino-6-Oxo-3H-Purin-9-Yl)-3-Hydroxy-Tetrahydrofuran-2-Yl]Methyl [(2R,3S,5R)-5-(6-Aminopurin-9-Yl)-2-(Hydroxymethyl)Tetrahydrofuran-3-Yl] Hydrogen Phosphate; [(2R,3S,5R)-5-(2-Amino-6-Oxo-3H-Purin-9-Yl)-3-Hydroxy-2-Tetrahydrofuranyl]Methyl [(2R,3S,5R)-5-(6-Amino-9-Purinyl)-2-(Hydroxymethyl)-3-Tetrahydrofuranyl] Hydrogen Phosphate; [(2R,3S,5R)-5-(2-Amino-6-Keto-3H-Purin-9-Yl)-3-Hydroxy-Tetrahydrofuran-2-Yl]Methyl [(2R,3S,5R)-5-(6-Aminopurin-9-Yl)-2-Methylol-Tetrahydrofuran-3-Yl] Hydrogen Phosphate |
|
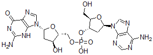
| Molecular Structure |
 |
| Molecular Formula |
C20H25N10O9P |
| Molecular Weight |
580.45 |
| CAS Registry Number |
4336-87-2 |
| SMILES |
[C@@H]1(C[C@@H](O[C@@H]1CO[P](O[C@@H]4[C@H](O[C@@H]([N]3C2=C(C(=NC=N2)N)N=C3)C4)CO)(=O)O)[N]6C5=C(C(N=C(N5)N)=O)N=C6)O |
| InChI |
1S/C20H25N10O9P/c21-16-14-17(24-5-23-16)29(6-25-14)13-2-9(10(3-31)37-13)39-40(34,35)36-4-11-8(32)1-12(38-11)30-7-26-15-18(30)27-20(22)28-19(15)33/h5-13,31-32H,1-4H2,(H,34,35)(H2,21,23,24)(H3,22,27,28,33)/t8-,9-,10+,11+,12+,13+/m0/s1 |
| InChIKey |
HCGVHZGSMKEALA-LSUSWQKBSA-N |
|