Online Database of Chemicals from Around the World

链霉素异烟肼
[CAS# 4480-58-4]

供应商
BOC Sciences 美国 询价快递  
+1 (631) 485-4226
info@bocsci.com
Skype 聊天
化学品供销商
chemBlink 集群供应商(2012 年起)
International Laboratory Limited 美国 询价快递  
+1 (650) 278-9963
admin@intlab.org
化学品生产商(2002 年起)
基本信息
产品名称 链霉素异烟肼
英文名 Streptonicozid
别名 N-[[5-(2,4-Diguanidino-3,5,6-Trihydroxy-Cyclohexoxy)-4-[4,5-Dihydroxy-6-(Hydroxymethyl)-3-Methylamino-Tetrahydropyran-2-Yl]Oxy-3-Hydroxy-2-Methyl-Tetrahydrofuran-3-Yl]Methyleneamino]Pyridine-4-Carboxamide; N-[[5-(2,4-Diguanidino-3,5,6-Trihydroxycyclohexoxy)-4-[[4,5-Dihydroxy-6-(Hydroxymethyl)-3-Methylamino-2-Tetrahydropyranyl]Oxy]-3-Hydroxy-2-Methyl-3-Tetrahydrofuranyl]Methyleneamino]-4-Pyridinecarboxamide; N-[[5-(2,4-Diguanidino-3,5,6-Trihydroxy-Cyclohexoxy)-4-(4,5-Dihydroxy-3-Methylamino-6-Methylol-Tetrahydropyran-2-Yl)Oxy-3-Hydroxy-2-Methyl-Tetrahydrofuran-3-Yl]Methyleneamino]Isonicotinamide
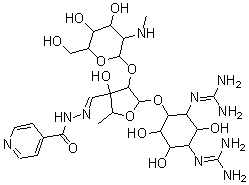
分子结构 CAS 登录号:4480-58-4, 链霉素异烟肼
分子式 C27H44N10O12
分子量 700.70
CAS 登录号 4480-58-4
分子行输入简码 SMILES C4=C(C(=O)N\N=C\C3(O)C(OC1OC(C(O)C(O)C1NC)CO)C(OC2C(N=C(N)N)C(O)C(N=C(N)N)C(O)C2O)OC3C)C=CN=C4
国际化学标识码 InChI 1S/C27H44N10O12/c1-9-27(45,8-34-37-22(44)10-3-5-33-6-4-10)21(49-23-14(32-2)18(42)15(39)11(7-38)47-23)24(46-9)48-20-13(36-26(30)31)16(40)12(35-25(28)29)17(41)19(20)43/h3-6,8-9,11-21,23-24,32,38-43,45H,7H2,1-2H3,(H,37,44)(H4,28,29,35)(H4,30,31,36)/b34-8+
国际化学标识检索码 InChIKey JCBKYEIGGFKWPQ-IOIBFPCHSA-N
物理化学性质
密度 1.869g/cm3 (计算值)
市场分析报告
请浏览链霉素异烟肼市场分析报告总目录
相关产品
(1,2-二甲基丙基)苯  2H-环庚并(b)呋喃-2-酮  3-辛基-2-环氧乙烷辛醇  5,5'-[(4-甲基-1,3-亚苯基)二(偶氮)...  1,1-二甲基-3-苯基脲三氯乙酸盐  三(2-甲基-4-二乙基氨基苯基)甲烷  1-[3-(3-苯基-2-丁烯-1-基)-3,8-...  alpha-萘基辛酸酯  4'-氟-2'-硝基乙酰苯胺  2-呋喃基(苯基)甲醇  4-壬酮  4-甲基-3-庚烯  N-(3-苯胺基-2-丙烯亚基)苯胺  次卟啉 IX 二盐酸盐  初卟啉 I