Online Database of Chemicals from Around the World

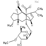
钠(1R,2S,4R,5R,8R,9S,11R)-2-{[(6-脱氧-4-O-甲基-beta-D-阿卓吡喃糖基)氧基]甲基}-9-甲酰基-13-异丙基-5-甲基四环[7.4.0.02,11.04,8]十三碳-12-烯-1-羧酸酯
[CAS# 463356-00-5]

供应商
Glentham Life Sciences 英国 询价快递  
+44 (2033) 978-798
info@glenthamls.com
化学品供销商(2013 年起)
Santa Cruz Biotechnology, Inc. 美国 询价快递  
+1 (831) 457-3800
scbt@scbt.com
化学品生产商
Sigma-Aldrich, Inc. 美国 询价快递  
+86 (21) 6141-5566 / 800-819-3336
ordercn@sial.com,
化学品生产商(1992 年起)
基本信息
产品名称 钠(1R,2S,4R,5R,8R,9S,11R)-2-{[(6-脱氧-4-O-甲基-beta-D-阿卓吡喃糖基)氧基]甲基}-9-甲酰基-13-异丙基-5-甲基四环[7.4.0.02,11.04,8]十三碳-12-烯-1-羧酸酯
英文名 Sodium (1R,2S,4R,5R,8R,9S,11R)-2-{[(6-Deoxy-4-O-Methyl-beta-D-Altropyranosyl)Oxy]Methyl}-9-Formyl-13-Isopropyl-5-Methyltetracyclo[7.4.0.02,11.04,8]Tridec-12-Ene-1-Carboxylate
别名 Sordarin sodium salt; S1442_SIGMA
分子结构 CAS 登录号:463356-00-5, 钠(1R,2S,4R,5R,8R,9S,11R)-2-{[(6-脱氧-4-O-甲基-beta-D-阿卓吡喃糖基)氧基]甲基}-9-甲酰基-13-异丙基-5-甲基四环[7.4.0.0<sup>2,11</sup>.0<sup>4,8</sup>]十三碳-12-烯-1-羧酸酯
分子式 C27H39NaO8
分子量 514.58
CAS 登录号 463356-00-5
分子行输入简码 SMILES [Na+].CC(C)/C3=C/[C@H]2C[C@]4(C=O)[C@@H]5CC[C@@H](C)[C@H]5C[C@@]2(CO[C@@H]1O[C@H](C)[C@@H](OC)[C@@H](O)[C@@H]1O)[C@]34C([O-])=O
国际化学标识码 InChI 1S/C27H40O8.Na/c1-13(2)19-8-16-9-25(11-28)18-7-6-14(3)17(18)10-26(16,27(19,25)24(31)32)12-34-23-21(30)20(29)22(33-5)15(4)35-23;/h8,11,13-18,20-23,29-30H,6-7,9-10,12H2,1-5H3,(H,31,32);/q;+1/p-1/t14-,15-,16+,17-,18-,20+,21+,22-,23-,25+,26+,27+;/m1./s1
国际化学标识检索码 InChIKey ILUKWKGTAAZHDW-IGICPMPSSA-M
物理化学性质
折射率 (计算值)
安全数据
SDS 化学品安全技术说明书参考文本
市场分析报告
请浏览钠(1R,2S,4R,5R,8R,9S,11R)-2-{[(6-脱氧-4-O-甲基-beta-D-阿卓吡喃糖基)氧基]甲基}-9-甲酰基-13-异丙基-5-甲基四环[7.4.0.02,11.04,8]十三碳-12-烯-1-羧酸酯市场分析报告总目录
相关产品
3-异丙氧基-2-哌啶酮  2,6-二甲基-2,4-庚二烯  1-[2-(4-甲氧基苯基)乙基]胍  1,1,1-乙烷三醇  2,6-二氨基-1-萘甲酸  (3aS)-1-(2-甲基苯基)-3,3-二苯基四...  1-[(1R,2R,4R)-双环[2.2.1]庚-...  1-[(1R,2S,4R)-双环[2.2.1]庚-...  (2S)-N-丁基-2-吖丁啶甲酰胺  (3S)-1-(3-氨基丙基)-3-甲基-2,5-...  1-异氰基-4-(三氟甲氧基)苯  1-异氰基-4-(甲硫基)苯  2-异丙基-2-氮杂双环[2.1.1]己烷-1-甲...  2-仲-丁基-2-氮杂双环[2.1.1]己烷-1-...  2-烯丙基-2-氮杂双环[2.1.1]己烷-1-甲...