Online Database of Chemicals from Around the World

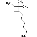
2-Hexyl-1,1,4-Trimethylcyclobutane
[CAS# 49622-19-7]

Suppliers
Achemica Switzerland Inquire  
+41 (24) 466-2929
contact@achemica.com
Chemical manufacturer since 2010
Identification
Name 2-Hexyl-1,1,4-Trimethylcyclobutane
Synonyms 2-Hexyl-1,1,4-trimethylcyclobutane #; 2-Hexyl-1,1,4-trimethylcyclobutane, (Z)-
Molecular Structure CAS#: 49622-19-7, 2-Hexyl-1,1,4-Trimethylcyclobutane
Molecular Formula C13H26
Molecular Weight 182.35
CAS Registry Number 49622-19-7
SMILES C(CCC1CC(C)C1(C)C)CCC
InChI 1S/C13H26/c1-5-6-7-8-9-12-10-11(2)13(12,3)4/h11-12H,5-10H2,1-4H3
InChIKey QBXWLDWHEDTEAG-UHFFFAOYSA-N
Properties
Density 0.783g/cm3 (Cal.)
Boiling point 217.837°C at 760 mmHg (Cal.)
Flash point 79.718°C (Cal.)
Market Analysis Reports
List of Reports Available for 2-Hexyl-1,1,4-Trimethylcyclobutane
Related Products
2-Thiophenecarbothioic S-acid  Methyl 1-Amino-1H-Benzimidazole-2-Carbox...  Methyl 1H-Benzimidazol-5-Ylcarbamate  1-Acetyl-5,5-Dimethyl-3-Pyrazolidinone  2-Acetyl-5,5-Dimethyl-3-Pyrazolidinone  3-(2,4-Dioxo-1,3-Thiazolidin-3-Yl)Propan...  Decahydropyrazino[1,2-a]Azepine  3-(1-Cyclohexen-1-Yl)-4,5-Dihydro-1H-Pyr...  4,5-Bis(Methylsulfanyl)-1,3-Dithiole-2-T...  3-[Ethyl(Methyl)Amino]-1-Propanol  (2S)-2-Methylhexanoic Acid  (2S)-2-{[(Benzyloxy)Carbonyl]Amino}-8-[(...  2-[(2-Isopropyl-5-Methylphenoxy)Methyl]O...  6-(Tritylamino)Nicotinic Acid  2-(1,2,3,6-Tetrahydro-4-Pyridinyl)-1H-Be...