Online Database of Chemicals from Around the World

Iturin C
[CAS# 52229-92-2]

Suppliers
CAS#: 52229-92-2
Product: Iturin C
No suppilers available for the product.
Identification
Name Iturin C
Synonyms 2-[6,22-Bis(2-Amino-2-Oxo-Ethyl)-3-(3-Amino-3-Oxo-Propyl)-19-(Hydroxymethyl)-9-[(4-Hydroxyphenyl)Methyl]-2,5,8,11,14,18,21,24-Octaoxo-16-Undecyl-1,4,7,10,13,17,20,23-Octazabicyclo[23.3.0]Octacosan-12-Yl]Acetic Acid; 2-[6,22-Bis(2-Amino-2-Keto-Ethyl)-3-(3-Amino-3-Keto-Propyl)-9-(4-Hydroxybenzyl)-2,5,8,11,14,18,21,24-Octaketo-19-Methylol-16-Undecyl-1,4,7,10,13,17,20,23-Octazabicyclo[23.3.0]Octacosan-12-Yl]Acetic Acid; 2-[6,22-Bis(2-Amino-2-Oxo-Ethyl)-3-(3-Amino-3-Oxo-Propyl)-19-(Hydroxymethyl)-9-[(4-Hydroxyphenyl)Methyl]-2,5,8,11,14,18,21,24-Octaoxo-16-Undecyl-1,4,7,10,13,17,20,23-Octazabicyclo[23.3.0]Octacosan-12-Yl]Ethanoic Acid
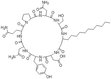
Molecular Structure CAS#: 52229-92-2, Iturin C
Molecular Formula C48H73N11O15
Molecular Weight 1044.17
CAS Registry Number 52229-92-2
SMILES C3=C(CC1NC(=O)C(NC(=O)CC(NC(=O)C(NC(=O)C(NC(=O)C2N(C(=O)C(NC(=O)C(NC1=O)CC(=O)N)CCC(=O)N)CCC2)CC(=O)N)CO)CCCCCCCCCCC)CC(=O)O)C=CC(=C3)O
InChI 1S/C48H73N11O15/c1-2-3-4-5-6-7-8-9-10-12-28-22-40(65)53-34(25-41(66)67)45(71)55-31(21-27-14-16-29(61)17-15-27)42(68)56-32(23-38(50)63)43(69)54-30(18-19-37(49)62)48(74)59-20-11-13-36(59)47(73)57-33(24-39(51)64)44(70)58-35(26-60)46(72)52-28/h14-17,28,30-36,60-61H,2-13,18-26H2,1H3,(H2,49,62)(H2,50,63)(H2,51,64)(H,52,72)(H,53,65)(H,54,69)(H,55,71)(H,56,68)(H,57,73)(H,58,70)(H,66,67)
InChIKey MVHYSGWFUVMTLO-UHFFFAOYSA-N
Properties
Density 1.382g/cm3 (Cal.)
Boiling point 1585.614°C at 760 mmHg (Cal.)
Flash point 912.746°C (Cal.)
Market Analysis Reports
List of Reports Available for Iturin C
Related Products
Norsanguinarine  17beta-Hydroxyestr-4-En-3-One 17-Palmita...  4-O-Benzoyl Pyridoxine  Valyl-Prolyl-Glycyl-Valyl-Glycine  Dodecahydro-4H,8H,12H-4a,8a,12alpha-Tria...  N-(1-Methyldodecyl)-N,N,N-Trimethylammon...  1-[2-[4-[(Z)-1-(4-Methoxyphenyl)-2-Nitro...  2-[(Tert-Butyl)Azo]-2-Methylbutyronitril...  [[3-(Aminomethyl)Phenyl]Methyl]Carbamic ...  alpha-Ethylbibenzyl  Molinate-Sulfoxide  4-(Diphenylmethylene)-2-Ethyl-3-Methylcy...  Lithium 4-[(5-Amino-3-Methyl-1-Phenyl-1H...  Ethyl [4-[(1-Amino-9,10-Dihydro-4-Hydrox...  Methyl [4-[(1-Amino-9,10-Dihydro-4-Hydro...