Online Database of Chemicals from Around the World

3-[(10-苯氧基癸基)氧基亚氨基甲基]利福霉素
[CAS# 52370-29-3]

供应商
CAS#: 52370-29-3
产品: 3-[(10-苯氧基癸基)氧基亚氨基甲基]利福霉素
暂时没有厂家供应该产品。
基本信息
产品名称 3-[(10-苯氧基癸基)氧基亚氨基甲基]利福霉素
英文名 3-[(10-Phenoxydecyl)Oxyiminomethyl]Rifamycin
别名 2,7-(Epoxypentadeca(1,11,13)Trienimino)Naphtho(2,1-B)Furan-1,11(2H)-Dione, 3-Formyl-5,6,9,17,19,21-Hexahydroxy-23-Methoxy-2,4,12,16,18,20,22-Heptamethyl-, 21-Acetate, O-(10-Phenoxydecyl)Oxime; 3-Formylrifamycin Sv O-(10-Phenoxydecyl)Oxime
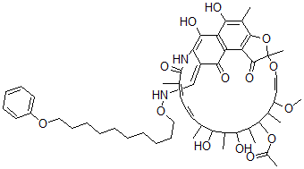
分子结构 CAS 登录号:52370-29-3, 3-[(10-苯氧基癸基)氧基亚氨基甲基]利福霉素
分子式 C54H72N2O14
分子量 973.17
CAS 登录号 52370-29-3
分子行输入简码 SMILES C5=C(OCCCCCCCCCCON/C=C2/C(=O)C1=C3C(=C(C4=C1C(=O)C(O/C=C/C(OC)C(C(OC(=O)C)C(C(O)C(C(O)C(C)\C=C\C=C(C(=O)NC2=C3O)\C)C)C)C)(O4)C)C)O)C=CC=C5
国际化学标识码 InChI 1S/C54H72N2O14/c1-31-22-21-23-32(2)53(64)56-44-39(30-55-68-28-20-15-13-11-10-12-14-19-27-66-38-24-17-16-18-25-38)48(61)41-42(49(44)62)47(60)36(6)51-43(41)52(63)54(8,70-51)67-29-26-40(65-9)33(3)50(69-37(7)57)35(5)46(59)34(4)45(31)58/h16-18,21-26,29-31,33-35,40,45-46,50,55,58-60,62H,10-15,19-20,27-28H2,1-9H3,(H,56,64)/b22-21+,29-26+,32-23-,39-30+
国际化学标识检索码 InChIKey LODPEWWDCYXYBR-PYEKQMGSSA-N
市场分析报告
请浏览3-[(10-苯氧基癸基)氧基亚氨基甲基]利福霉素市场分析报告总目录
相关产品
3-[2-(2-甲氧基乙氧基)乙氧基亚氨基甲基]利...  3-[2-(2-乙氧基乙氧基)乙氧基亚氨基甲基]利...  3-[2-(2-丁氧基乙氧基)乙氧基亚氨基甲基]利...  L-gamma-谷氨酰-3-羟基-L-酪氨酸  1,2-二氢-1-二甲基氨基-4-苯基-3-萘磺酸  6-氨基-5-[[2-磺基-4-[[2-(磺基氧基...  2-二苯甲基氧基乙基-[2-[10-[2-[2-二...  2,3-二氢-5-甲氧基-N-甲基-1H-茚-1-...  2,3-二氢-5-甲氧基-1H-茚-1-胺  4-甲氧基-茚满-1-基胺  黄曲霉毒素 D1  1-氨基-4-(丁基氨基)-9,10-二氢-9,1...  1-氨基-4-(乙基氨基)-9,10-二氢-9,1...  1-氨基-4-(乙基氨基)-9,10-二氢-9,1...  N-去甲基西咪替丁