Online Database of Chemicals from Around the World

3-[[[[(E)-3,7-二甲基-2,6-辛二烯基]氧基]亚氨基]甲基]利福霉素 Sv
[CAS# 52437-59-9]

供应商
CAS#: 52437-59-9
产品: 3-[[[[(E)-3,7-二甲基-2,6-辛二烯基]氧基]亚氨基]甲基]利福霉素 Sv
暂时没有厂家供应该产品。
基本信息
产品名称 3-[[[[(E)-3,7-二甲基-2,6-辛二烯基]氧基]亚氨基]甲基]利福霉素 Sv
英文名 3-[[[[(E)-3,7-Dimethyl-2,6-Octadienyl]Oxy]Imino]Methyl]Rifamycin Sv
别名 3-Formylrifamycin Sv O-Geranyloxime; Brn 5418835
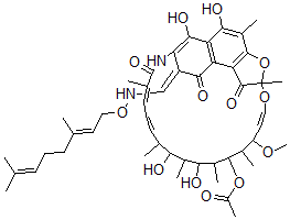
分子结构 CAS 登录号:52437-59-9, 3-[[[[(E)-3,7-二甲基-2,6-辛二烯基]氧基]亚氨基]甲基]利福霉素 Sv
分子式 C48H64N2O13
分子量 877.04
CAS 登录号 52437-59-9
分子行输入简码 SMILES C(ON/C=C2/C(=O)C1=C3C(=C(C4=C1C(=O)C(O/C=C/C(OC)C(C(OC(=O)C)C(C(O)C(C(O)C(C)\C=C\C=C(C(=O)NC2=C3O)\C)C)C)C)(O4)C)C)O)\C=C(\CCC=C(C)C)C
国际化学标识码 InChI 1S/C48H64N2O13/c1-24(2)15-13-16-25(3)19-22-61-49-23-33-38-43(56)36-35(42(33)55)37-45(31(9)41(36)54)63-48(11,46(37)57)60-21-20-34(59-12)28(6)44(62-32(10)51)30(8)40(53)29(7)39(52)26(4)17-14-18-27(5)47(58)50-38/h14-15,17-21,23,26,28-30,34,39-40,44,49,52-54,56H,13,16,22H2,1-12H3,(H,50,58)/b17-14+,21-20+,25-19+,27-18-,33-23+
国际化学标识检索码 InChIKey KBRHUIPJKIFPBG-XSXAILTASA-N
市场分析报告
请浏览3-[[[[(E)-3,7-二甲基-2,6-辛二烯基]氧基]亚氨基]甲基]利福霉素 Sv市场分析报告总目录
相关产品
1-氯-2-(1-氯丙-2-基氧基)丙烷  alpha-D-吡喃葡萄糖苷, beta-D-呋喃...  1-二十碳烯  二(1-氯甲基-1-甲基乙基)硫醚  [6S,(+)]-6-[(1S)-1,2,3,4-...  螺[嘧啶-5,1'-环己烷]-2,4,6(1H,3...  (S)-2-氨基-3-(5-氯-1H-吲哚-3-基...  3-(邻甲苯氧基)-1-丙醇  2'-氟-beta-甲基联苯-4-丙酸  2-[2-[(5-溴-3-乙基-3H-苯并噻唑-2...  N-[3-(2-氨基-5-甲氧基苯基)-3-氧代丙...  伊短菌素 A  伊短菌素 B  Acecobarb  1,3-异苯并呋喃二酮与 2,2-二甲基-1,3-...