Online Database of Chemicals from Around the World

(9E,26E)-26-[(2,2-Dioctylhydrazino)Methylene]-2,15,17,29-Tetrahydroxy-11-Methoxy-3,7,12,14,16,18,22-Heptamethyl-6,23,27-Trioxo-8,30-Dioxa-24-Azatetracyclo[23.3.1.14,7.05,28]Triaconta-1(28),2,4,9,1 9,21,25(29)-Heptaen-13-Yl Acetate
[CAS# 52474-42-7]

Suppliers
CAS#: 52474-42-7
Product: (9E,26E)-26-[(2,2-Dioctylhydrazino)Methylene]-2,15,17,29-Tetrahydroxy-11-Methoxy-3,7,12,14,16,18,22-Heptamethyl-6,23,27-Trioxo-8,30-Dioxa-24-Azatetracyclo[23.3.1.14,7.05,28]Triaconta-1(28),2,4,9,1 9,21,25(29)-Heptaen-13-Yl Acetate
No suppilers available for the product.
Identification
Name (9E,26E)-26-[(2,2-Dioctylhydrazino)Methylene]-2,15,17,29-Tetrahydroxy-11-Methoxy-3,7,12,14,16,18,22-Heptamethyl-6,23,27-Trioxo-8,30-Dioxa-24-Azatetracyclo[23.3.1.14,7.05,28]Triaconta-1(28),2,4,9,1 9,21,25(29)-Heptaen-13-Yl Acetate
Synonyms R-8(2); Rifamycin, 3-((dioctylhydrazono)methyl)-
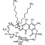
Molecular Structure CAS#: 52474-42-7, (9E,26E)-26-[(2,2-Dioctylhydrazino)Methylene]-2,15,17,29-Tetrahydroxy-11-Methoxy-3,7,12,14,16,18,22-Heptamethyl-6,23,27-Trioxo-8,30-Dioxa-24-Azatetracyclo[23.3.1.1<Sup>4,7</Sup>.0<Sup>5,28</Sup>]Triaconta-1(28),2,4,9,1 9,21,25(29)-Heptaen-13-Yl Acetate
Molecular Formula C54H81N3O12
Molecular Weight 964.23
CAS Registry Number 52474-42-7
SMILES O=C/1c2c4C(=O)C3(O/C=C/C(OC)C(C(OC(=O)C)C(C)C(O)C(C)C(O)C(/C=C\C=C(/C(=O)NC(/C\1=C\NN(CCCCCCCC)CCCCCCCC)=C(\O)c2c(O)c(c4O3)C)C)C)C)C
InChI 1S/C54H81N3O12/c1-12-14-16-18-20-22-28-57(29-23-21-19-17-15-13-2)55-31-39-44-49(63)42-41(48(39)62)43-51(37(8)47(42)61)69-54(10,52(43)64)67-30-27-40(66-11)34(5)50(68-38(9)58)36(7)46(60)35(6)45(59)32(3)25-24-26-33(4)53(65)56-44/h24-27,30-32,34-36,40,45-46,50,55,59-61,63H,12-23,28-29H2,1-11H3,(H,56,65)/b25-24+,30-27+,33-26+,39-31+
InChIKey AZIFRDMLCAMTSI-PXAOSCNFSA-N
Properties
Density 1.208g/cm3 (Cal.)
Market Analysis Reports
List of Reports Available for (9E,26E)-26-[(2,2-Dioctylhydrazino)Methylene]-2,15,17,29-Tetrahydroxy-11-Methoxy-3,7,12,14,16,18,22-Heptamethyl-6,23,27-Trioxo-8,30-Dioxa-24-Azatetracyclo[23.3.1.14,7.05,28]Triaconta-1(28),2,4,9,1 9,21,25(29)-Heptaen-13-Yl Acetate
Related Products
1-Amino-3-(Methylsulfanyl)Cyclohexanecar...  (1S,3S)-1-Amino-3-(Methylsulfanyl)Cyclop...  (1S,3R)-1-Amino-3-(Methylsulfanyl)Cyclop...  4-[(Z)-(4-Ethyl-3,5-Dimethyl-2H-Pyrrol-2...  2-Chloro-4-(3,5-Dimethyl-1H-Pyrazol-1-Yl...  N-(2-Formylphenyl)-N-Methylformamide  7-(3,5-Dimethoxyphenyl)-7-Oxoheptanoic A...  6-(3,5-Dimethoxyphenyl)-6-Oxohexanoic Ac...  Methyl alpha-D-Ribofuranoside  3,4-Dihydro-1(2H)-azulenone  1-(3-Chloro-4-Methylphenyl)-3-Methoxy-2-...  (4-Hydroxyphenyl)(2-Methyl-1-Benzofuran-...  3-Ethyl-2-(2-Methoxyphenyl)Pyrrolidine  3-Ethyl-2-(4-Methoxyphenyl)Pyrrolidine  1-[2-(3-Ethyl-2-Pyrrolidinyl)Ethyl]Piper...