基本信息
| 产品名称 |
山梨糖醇聚氧丙烯醚 |
| 英文名 |
Sorbitol polyoxypropylene ether |
| 别名 |
3-[1-[1,2-Bis(3-Hydroxypropoxy)Ethyl]-2,3,4-Tris(3-Hydroxypropoxy)Butoxy]Propan-1-Ol; Sorbitol Polyoxypropylene Ether; Poly(Oxy(Methyl-1,2-Ethanediyl)), Alpha-Hydro-Omega-Hydroxy-, Ether With D-Glucitol (6:1) |
|
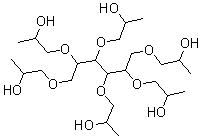
| 分子结构 |
 |
| 分子式 |
C24H50O12 |
| 分子量 |
530.65 |
| CAS 登录号 |
52625-13-5 |
| 分子行输入简码 SMILES |
C(O)CCOCC(OCCCO)C(OCCCO)C(OCCCO)C(OCCCO)COCCCO |
| 国际化学标识码 InChI |
1S/C24H50O12/c25-7-1-13-31-19-21(33-15-3-9-27)23(35-17-5-11-29)24(36-18-6-12-30)22(34-16-4-10-28)20-32-14-2-8-26/h21-30H,1-20H2 |
| 国际化学标识检索码 InChIKey |
OJZGCEDLMNSDNY-UHFFFAOYSA-N |
|