Online Database of Chemicals from Around the World

1-Hydroxyoctane-1,1-diphosphonic acid
[CAS# 53019-19-5]

Suppliers
International Laboratory Limited USA Inquire  
+1 (650) 278-9963
admin@intlab.org
Chemical manufacturer since 2002
Identification
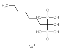
Name 1-Hydroxyoctane-1,1-diphosphonic acid
Synonyms (1-Hydroxy-1-Phosphono-Octyl)Phosphonic Acid; Sodium; 1-Hydroxy-Octane-1,1-Bisphosphonate; Nsc722626
Molecular Structure CAS#: 53019-19-5, 1-Hydroxyoctane-1,1-diphosphonic acid
Molecular Formula C8H20NaO7P2
Molecular Weight 313.18
CAS Registry Number 53019-19-5
SMILES [Na].C(C([P](=O)(O)O)([P](=O)(O)O)O)CCCCCC
InChI 1S/C8H20O7P2.Na/c1-2-3-4-5-6-7-8(9,16(10,11)12)17(13,14)15;/h9H,2-7H2,1H3,(H2,10,11,12)(H2,13,14,15);
InChIKey CNBHXCGXVAYCND-UHFFFAOYSA-N
Properties
Boiling point 541°C at 760 mmHg (Cal.)
Flash point 281°C (Cal.)
Safety Data
SDS Available
Market Analysis Reports
List of Reports Available for 1-Hydroxyoctane-1,1-diphosphonic acid
Related Products
4-Ethyloxazolidine  3-Ethyl-2-Methylnaphtho[2,1-d]Thiazolium...  4-Hydroxy-2-Benzofurancarbonitrile  (1b,17a)-1-(Acetyloxy)-13-ethyl-17-hydro...  5-(3-Hydroxypropyl)-7-Methoxy-2-(3,4-Met...  1,2-Diisopropyl-1,2,4-Triazolidine-3,5-D...  Suksdorfin  3-Methyl-2-Butenoic Acid 9alpha-(Acetylo...  7-Methoxy-3,7-Dimethyl-Octanal  4'-Ethyl-4-dimethylaminoazobenzene  2-Amino-4-(Carboxycarbonylamino)Butyric ...  Evernimicin  Antibiotic K 41  Acid Blue 74  Ethoxylated methyl D-glucoside