Online Database of Chemicals from Around the World

放线菌素 D 与胸苷酰-(5'-3')-2'-脱氧腺苷酰-(5'-3')-2'-脱氧胞苷酰-(5'-3')-2'-脱氧鸟苷酰-(5'-3')-胸苷酰-(5'-3')-2'-脱氧腺苷化合物
[CAS# 53360-01-3]

供应商
CAS#: 53360-01-3
产品: 放线菌素 D 与胸苷酰-(5'-3')-2'-脱氧腺苷酰-(5'-3')-2'-脱氧胞苷酰-(5'-3')-2'-脱氧鸟苷酰-(5'-3')-胸苷酰-(5'-3')-2'-脱氧腺苷化合物
暂时没有厂家供应该产品。
基本信息
产品名称 放线菌素 D 与胸苷酰-(5'-3')-2'-脱氧腺苷酰-(5'-3')-2'-脱氧胞苷酰-(5'-3')-2'-脱氧鸟苷酰-(5'-3')-胸苷酰-(5'-3')-2'-脱氧腺苷化合物
英文名 Actinomycin D, compd. with thymidylyl-(5'-3')-2'-deoxyadenylyl-(5'-3')-2'-deoxycytidylyl-(5'-3')-2'-deoxyguanylyl-(5'-3')-thymidylyl-(5'-3')-2'-deoxyadenosine
别名 Actinomycin D, Compd. With Thymidylyl-(5'-3')-2'-Deoxyadenylyl-(5'-3')-2'-Deoxycytidylyl-(5'-3')-2'-Deoxyguanylyl-(5'-3')-Thymidylyl-(5'-3')-2'-Deoxyadenosine (1:1); Addatgcat; D(Apgpcpt)2-Actinomycin D Complex
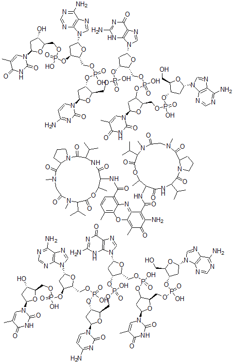
分子结构 CAS 登录号:53360-01-3, 放线菌素 D 与胸苷酰-(5'-3')-2'-脱氧腺苷酰-(5'-3')-2'-脱氧胞苷酰-(5'-3')-2'-脱氧鸟苷酰-(5'-3')-胸苷酰-(5'-3')-2'-脱氧腺苷化合物
分子式 C180H236N56O84P10
分子量 4837.91
CAS 登录号 53360-01-3
分子行输入简码 SMILES N6C(=O)C(NC(=O)C2=C(N)C(=O)C(=C3OC1=C(C=CC(=C1N=C23)C(=O)NC4C(=O)NC(C(=O)N5C(C(=O)N(CC(=O)N(C(C(OC4C)=O)C(C)C)C)C)CCC5)C(C)C)C)C)C(OC(=O)C(N(C(=O)CN(C(=O)C7N(C(=O)C6C(C)C)CCC7)C)C)C(C)C)C.[C@H]%15(O[C@@H]([C@H](O[P](OC[C@H]9O[C@@H](N8C(=O)N=C(N)C=C8)C[C@@H]9O[P](OC[C@H]%12O[C@@H]([N]%10C%11=C(N=C%10)C(=NC=N%11)N)C[C@@H]%12O[P](OC[C@H]%14O[C@@H](N%13C(=O)NC(=O)C(=C%13)C)C[C@@H]%14O)(=O)O)(=O)O)(=O)O)C%15)CO[P](OC%17[C@H](O[C@@H](N%16C(=O)NC(=O)C(=C%16)C)C%17)CO[P](O[C@@H]%20[C@H](O[C@H]([N]%18C%19=C(N=C%18)C(=NC=N%19)N)C%20)CO)(=O)O)(=O)O)[N]%21C%22=C(N=C%21)C(=O)N=C(N%22)N.[C@H]%30(O[C@@H]([C@H](O[P](OC[C@H]%24O[C@@H](N%23C(=O)N=C(N)C=C%23)C[C@@H]%24O[P](OC[C@H]%27O[C@@H]([N]%25C%26=C(N=C%25)C(=NC=N%26)N)C[C@@H]%27O[P](OC[C@H]%29O[C@@H](N%28C(=O)NC(=O)C(=C%28)C)C[C@@H]%29O)(=O)O)(=O)O)(=O)O)C%30)CO[P](OC%32[C@H](O[C@@H](N%31C(=O)NC(=O)C(=C%31)C)C%32)CO[P](O[C@@H]%35[C@H](O[C@H]([N]%33C%34=C(N=C%33)C(=NC=N%34)N)C%35)CO)(=O)O)(=O)O)[N]%36C%37=C(N=C%36)C(=O)N=C(N%37)N
国际化学标识码 InChI 1S/C62H86N12O16.2C59H75N22O34P5/c1-27(2)42-59(84)73-23-17-19-36(73)57(82)69(13)25-38(75)71(15)48(29(5)6)61(86)88-33(11)44(55(80)65-42)67-53(78)35-22-21-31(9)51-46(35)64-47-40(41(63)50(77)32(10)52(47)90-51)54(79)68-45-34(12)89-62(87)49(30(7)8)72(16)39(76)26-70(14)58(83)37-20-18-24-74(37)60(85)43(28(3)4)66-56(45)81;2*1-24-11-77(58(88)74-53(24)84)39-5-26(83)33(106-39)14-100-116(90,91)114-30-9-43(80-22-69-46-49(62)65-20-67-51(46)80)109-36(30)17-103-118(94,95)112-28-7-40(76-4-3-38(60)71-57(76)87)107-34(28)15-102-120(98,99)115-31-10-44(81-23-70-47-52(81)72-56(63)73-55(47)86)110-37(31)18-104-119(96,97)113-29-8-41(78-12-25(2)54(85)75-59(78)89)108-35(29)16-101-117(92,93)111-27-6-42(105-32(27)13-82)79-21-68-45-48(61)64-19-66-50(45)79/h21-22,27-30,33-34,36-37,42-45,48-49H,17-20,23-26,63H2,1-16H3,(H,65,80)(H,66,81)(H,67,78)(H,68,79);2*3-4,11-12,19-23,26-37,39-44,82-83H,5-10,13-18H2,1-2H3,(H,90,91)(H,92,93)(H,94,95)(H,96,97)(H,98,99)(H2,60,71,87)(H2,61,64,66)(H2,62,65,67)(H,74,84,88)(H,75,85,89)(H3,63,72,73,86)/t;2*26-,27-,28-,29?,30-,31+,32+,33+,34+,35+,36+,37+,39+,40+,41+,42-,43+,44+/m.00/s1
国际化学标识检索码 InChIKey TYHGOBNRIONSAQ-LHEMYKEMSA-N
市场分析报告
请浏览放线菌素 D 与胸苷酰-(5'-3')-2'-脱氧腺苷酰-(5'-3')-2'-脱氧胞苷酰-(5'-3')-2'-脱氧鸟苷酰-(5'-3')-胸苷酰-(5'-3')-2'-脱氧腺苷化合物市场分析报告总目录
相关产品
alpha-[[(4,5-二氢-1H-咪唑-2-基...  苯双咪唑  N-[2-氯-1-(乙氧羰基氨基)乙基]氨基甲酸乙...  4-氨基-2-羟基苯磺酸  N-(氨基羰基)-2-碘-3-甲基丁酰胺  癸基异辛基邻苯二甲酸酯  2,3-二(羟基甲基)-1-甲基吡咯  2-甲基壬烷-4,6-二酮  2-(苯甲酰基)丁酸甲酯  草胺膦  2-[(二甲基氨基)甲基]苯甲腈  N-[2-(氨基甲基)苄基]-N,N-二甲胺  甲萘氢醌二丁酸酯  4,4'-苄氧基亚甲基二(N,N-二甲基苯胺)  丁基5-氨基磺酰基邻茴香酸盐