Online Database of Chemicals from Around the World

1,2-二月桂酰磷脂酰乙醇胺
[CAS# 53695-34-4]

供应商
CAS#: 53695-34-4
产品: 1,2-二月桂酰磷脂酰乙醇胺
暂时没有厂家供应该产品。
基本信息
产品名称 1,2-二月桂酰磷脂酰乙醇胺
英文名 1,2-Dilauroylphosphatidylethanolamine
别名 Acetic Acid; [1-[(2-Aminoethoxy-Hydroxy-Phosphoryl)Oxymethyl]-2-Dodecanoyloxy-Ethyl] Dodecanoate; Acetic Acid; Dodecanoic Acid [1-[(2-Aminoethoxy-Hydroxyphosphoryl)Oxymethyl]-2-(1-Oxododecoxy)Ethyl] Ester; Acetic Acid; Lauric Acid [1-[(2-Aminoethoxy-Hydroxy-Phosphoryl)Oxymethyl]-2-Lauroyloxy-Ethyl] Ester
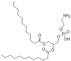
分子结构 CAS 登录号:53695-34-4, 1,2-二月桂酰磷脂酰乙醇胺
分子式 C31H62NO10P
分子量 639.81
CAS 登录号 53695-34-4
分子行输入简码 SMILES C(O[P](OCCN)(=O)O)C(OC(=O)CCCCCCCCCCC)COC(=O)CCCCCCCCCCC.CC(=O)O
国际化学标识码 InChI 1S/C29H58NO8P.C2H4O2/c1-3-5-7-9-11-13-15-17-19-21-28(31)35-25-27(26-37-39(33,34)36-24-23-30)38-29(32)22-20-18-16-14-12-10-8-6-4-2;1-2(3)4/h27H,3-26,30H2,1-2H3,(H,33,34);1H3,(H,3,4)
国际化学标识检索码 InChIKey NIYQLOFJJVVREI-UHFFFAOYSA-N
物理化学性质
沸点 646.2°C at 760 mmHg (计算值)
闪点 344.6°C (计算值)
市场分析报告
请浏览1,2-二月桂酰磷脂酰乙醇胺市场分析报告总目录
相关产品
6-甲基癸酸  3,3-二甲基环氧乙烷-2-羧酸乙酯  4-[2-[(2,6-二甲基苯基)氧基]乙基]-4...  苊-5-磺酸  碳酸铈(II)  三(2-羟基丙酸)铝盐  1-硬脂酰-2-油酰基-Sn-甘油  普立地芬  三苯甲酸铈  O-甲基乙酰基硫代氨基磷酸酯铵盐  2-丙烯酸 2-羟基丙基酯与氯乙烯聚合物  11beta,17-二羟基孕甾-4-烯-3,20-...  1,1,3,3-四甲基茚满-5-醇  6-(叔丁基)-1,1,3,3-四甲基茚满-5-醇  1,1,3,3,6-五甲基茚满-4-醇