Online Database of Chemicals from Around the World

三甲基硅烷基5-[二(三甲基硅烷基)氨基]戊酸酯
[CAS# 55191-54-3]

供应商
CAS#: 55191-54-3
产品: 三甲基硅烷基5-[二(三甲基硅烷基)氨基]戊酸酯
暂时没有厂家供应该产品。
基本信息
产品名称 三甲基硅烷基5-[二(三甲基硅烷基)氨基]戊酸酯
英文名 Trimethylsilyl 5-[Bis(Trimethylsilyl)Amino]Pentanoate
别名 Trimethylsilyl 5-[bis(trimethylsilyl)amino]pentanoate #
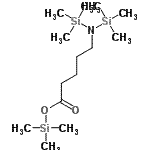
分子结构 CAS 登录号:55191-54-3, 三甲基硅烷基5-[二(三甲基硅烷基)氨基]戊酸酯
分子式 C14H35NO2Si3
分子量 333.69
CAS 登录号 55191-54-3
分子行输入简码 SMILES O=C(O[Si](C)(C)C)CCCCN([Si](C)(C)C)[Si](C)(C)C
国际化学标识码 InChI 1S/C14H35NO2Si3/c1-18(2,3)15(19(4,5)6)13-11-10-12-14(16)17-20(7,8)9/h10-13H2,1-9H3
国际化学标识检索码 InChIKey VSQRUIYDTHLALN-UHFFFAOYSA-N
物理化学性质
密度 0.884g/cm3 (计算值)
沸点 319.392°C at 760 mmHg (计算值)
闪点 146.963°C (计算值)
市场分析报告
请浏览三甲基硅烷基5-[二(三甲基硅烷基)氨基]戊酸酯市场分析报告总目录
相关产品
甲基(2E)-2-[1-(4-乙基苯基)亚乙基]肼...  1-(吡唑并[1,5-b]哒嗪-3-基)乙酮  1-(1H-苯并咪唑-5-基)胍  1-(6-甲氧基吡唑o[1,5-b]哒嗪-3-基)...  3-乙酰基吡唑并[1,5-b]哒嗪-6(7H)-酮  1,1,2,2,2-五氟-N,N-二甲基-乙胺  (5-溴-2-呋喃基)(1H-吡唑-1-基)甲酮  5-(1,2-恶唑-5-基)-2-呋喃磺酰氯  2-十三烷基丁酸酯  (3Z)-3-[(二甲基氨基)亚甲基]-5-甲基-...  N'-羟基-1-吡咯烷甲脒  (3R,4R)-4-氨基四氢-3-噻吩羧酸  [(1R,2S)-2-氨基-4-亚甲基环戊基]甲醇  (1R,2S)-2-氨基-N-羟基-4-亚甲基环戊...  (1R,2S)-2-(三氟甲基)环戊烷胺