Online Database of Chemicals from Around the World

2,2,9,9-四甲基-7-十四烷基-6-[(三甲基硅烷基)氧基]-3,8-二氧杂-2,9-二硅杂癸烷-5-胺
[CAS# 55517-84-5]

供应商
CAS#: 55517-84-5
产品: 2,2,9,9-四甲基-7-十四烷基-6-[(三甲基硅烷基)氧基]-3,8-二氧杂-2,9-二硅杂癸烷-5-胺
暂时没有厂家供应该产品。
基本信息
产品名称 2,2,9,9-四甲基-7-十四烷基-6-[(三甲基硅烷基)氧基]-3,8-二氧杂-2,9-二硅杂癸烷-5-胺
英文名 2,2,9,9-Tetramethyl-7-Tetradecyl-6-[(Trimethylsilyl)Oxy]-3,8-Dioxa-2,9-Disiladecan-5-Amine
别名 2,2,9,9-Tetramethyl-7-tetradecyl-6-[(trimethylsilyl)oxy]-3,8-dioxa-2,9-disiladecan-5-amine #
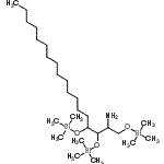
分子结构 CAS 登录号:55517-84-5, 2,2,9,9-四甲基-7-十四烷基-6-[(三甲基硅烷基)氧基]-3,8-二氧杂-2,9-二硅杂癸烷-5-胺
分子式 C27H63NO3Si3
分子量 534.05
CAS 登录号 55517-84-5
分子行输入简码 SMILES O([Si](C)(C)C)C(C(O[Si](C)(C)C)C(N)CO[Si](C)(C)C)CCCCCCCCCCCCCC
国际化学标识码 InChI 1S/C27H63NO3Si3/c1-11-12-13-14-15-16-17-18-19-20-21-22-23-26(30-33(5,6)7)27(31-34(8,9)10)25(28)24-29-32(2,3)4/h25-27H,11-24,28H2,1-10H3
国际化学标识检索码 InChIKey YGJCHGIJMHIICG-UHFFFAOYSA-N
物理化学性质
密度 0.882g/cm3 (计算值)
沸点 509.688°C at 760 mmHg (计算值)
闪点 262.05°C (计算值)
市场分析报告
请浏览2,2,9,9-四甲基-7-十四烷基-6-[(三甲基硅烷基)氧基]-3,8-二氧杂-2,9-二硅杂癸烷-5-胺市场分析报告总目录
相关产品
1-三十五烷醇  2,2,8,8-四甲基-3,7-二氧杂-2,8-二...  2,3-二[(三甲基硅烷基)氧基]丙基二十烷酸酯  2-异氰酸-5-甲氧基-1,3,4-噻二唑  3-(2,4-二氧代-1,2,3,4-四氢-5-嘧...  三甲基硅烷基棕榈酸酯  三甲基硅烷基月桂酸酯  1-(4-羟基-3-甲基环己基)-3-苯基脲  6-碘-8-硝基喹啉  6-碘-8-喹啉胺  (3S,4aS,13bS)-3-(2-甲基-2-丙...  (3R,4aR,13bR)-3-(2-甲基-2-丙...  N-(5-氨基-5-羧基戊基)-N,N-二甲基甲铵  1,3,4,9-四(三甲基硅烷基)-4,9-二氢-...  三甲基硅烷基二十烷酸酯