Online Database of Chemicals from Around the World

1-(3-丁炔-1-基)-3-(4-氯苯基)-1-甲基脲
[CAS# 56247-81-5]

供应商
Achemica 瑞士 询价快递  
+41 (24) 466-2929
contact@achemica.com
化学品生产商(2010 年起)
基本信息
产品名称 1-(3-丁炔-1-基)-3-(4-氯苯基)-1-甲基脲
英文名 1-(3-Butyn-1-Yl)-3-(4-Chlorophenyl)-1-Methylurea
别名 N-(3-Butynyl)-N'-(4-chlorophenyl)-N-methylurea; N-(3-Butynyl)-N'-(4-chlorophenyl)-N-methylurea #
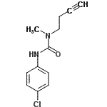
分子结构 CAS 登录号:56247-81-5, 1-(3-丁炔-1-基)-3-(4-氯苯基)-1-甲基脲
分子式 C12H13ClN2O
分子量 236.70
CAS 登录号 56247-81-5
分子行输入简码 SMILES Clc1ccc(NC(=O)N(CCC#C)C)cc1
国际化学标识码 InChI 1S/C12H13ClN2O/c1-3-4-9-15(2)12(16)14-11-7-5-10(13)6-8-11/h1,5-8H,4,9H2,2H3,(H,14,16)
国际化学标识检索码 InChIKey YXAIDEIOAVTHKF-UHFFFAOYSA-N
物理化学性质
密度 1.236g/cm3 (计算值)
沸点 411.655°C at 760 mmHg (计算值)
闪点 202.762°C (计算值)
市场分析报告
请浏览1-(3-丁炔-1-基)-3-(4-氯苯基)-1-甲基脲市场分析报告总目录
相关产品
异缬氨酸乙酯  乙基2-乙酰氨基-2,3,4-三脱氧-6-O-(甲...  N-(2-乙氧基-6-甲基-3,6-二氢-2H-吡...  N-(6-乙氧基-2-甲基-3,6-二氢-2H-吡...  5-苯基-1H-咪唑-2-甲醛  1,5,5-三甲基-6-(2-丙烯-1-亚基)环己...  5-[(Z)-(3,4-二甲基-5-氧代-2(5H...  1,6-二甲基-3-辛基十氢萘  8-氮杂四环[4.3.0.0<sup>3,9</s...  1-(4-甲基-1-哌嗪基)-1-十八烷酮  N-羟基脯氨酰胺  1,2-吡咯烷二甲酸  (1R,1'aR,3'S,3aR,6'aS,7aR...  N-(2,4-二硝基苯基)-2,2,8,8-四甲基...  2-{[4-({4-[二(2-羟基乙基)氨基]-6...