Online Database of Chemicals from Around the World

8-甲基-13-苯基-3-十三烷酮
[CAS# 56630-77-4]

供应商
Achemica 瑞士 询价快递  
+41 (24) 466-2929
contact@achemica.com
化学品生产商(2010 年起)
基本信息
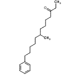
产品名称 8-甲基-13-苯基-3-十三烷酮
英文名 8-Methyl-13-Phenyl-3-Tridecanone
别名 8-Methyl-13-phenyl-3-tridecanone #
分子结构 CAS 登录号:56630-77-4, 8-甲基-13-苯基-3-十三烷酮
分子式 C20H32O
分子量 288.47
CAS 登录号 56630-77-4
分子行输入简码 SMILES O=C(CC)CCCCC(C)CCCCCc1ccccc1
国际化学标识码 InChI 1S/C20H32O/c1-3-20(21)17-11-10-13-18(2)12-6-4-7-14-19-15-8-5-9-16-19/h5,8-9,15-16,18H,3-4,6-7,10-14,17H2,1-2H3
国际化学标识检索码 InChIKey MUWXVKWCQUTCPT-UHFFFAOYSA-N
物理化学性质
密度 0.908g/cm3 (计算值)
沸点 389.492°C at 760 mmHg (计算值)
闪点 114.977°C (计算值)
市场分析报告
请浏览8-甲基-13-苯基-3-十三烷酮市场分析报告总目录
相关产品
1-(1-吡咯烷基)-12-十八碳炔-1-酮  1-(1-吡咯烷基)-10-十八碳炔-1-酮  1-(1-吡咯烷基)-9-十八碳炔-1-酮  9-异亚丙基-1-甲基双环[3.3.1]壬烷-2-...  1-吲哚啉甲酰胺  5-氯-1-吲哚啉硫代甲酰胺  1-吲哚啉硫代甲酰胺  N-苯甲酰基-2-羟基苯甲酰胺  (5-甲基-2-硝基苯基)肼  (20S)-17,20,21-三羟基孕甾-4-烯-...  2-甲基-1-苯基-2-丁胺  2-甲基-1-苯基-1-丁胺  2,2-二甲基六氢-1,3-苯并二氧戊环  (3beta,5alpha)-孕甾烷-3,17,2...  (6-氯己基)苯