Online Database of Chemicals from Around the World

苄基龙胆双糖苷
[CAS# 56775-64-5]

供应商
CAS#: 56775-64-5
产品: 苄基龙胆双糖苷
暂时没有厂家供应该产品。
基本信息
产品名称 苄基龙胆双糖苷
英文名 Benzyl Gentiobioside
别名 (2R,3R,4S,5S,6R)-2-(Phenylmethoxy)-6-[[(2R,3R,4S,5S,6R)-3,4,5-Trihydroxy-6-(Hydroxymethyl)Tetrahydropyran-2-Yl]Oxymethyl]Tetrahydropyran-3,4,5-Triol; (2R,3R,4S,5S,6R)-2-(Phenylmethoxy)-6-[[(2R,3R,4S,5S,6R)-3,4,5-Trihydroxy-6-(Hydroxymethyl)-2-Tetrahydropyranyl]Oxymethyl]Tetrahydropyran-3,4,5-Triol; (2R,3R,4S,5S,6R)-2-(Benzyloxy)-6-[[(2R,3R,4S,5S,6R)-3,4,5-Trihydroxy-6-Methylol-Tetrahydropyran-2-Yl]Oxymethyl]Tetrahydropyran-3,4,5-Triol
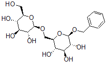
分子结构 CAS 登录号:56775-64-5, 苄基龙胆双糖苷
分子式 C19H28O11
分子量 432.42
CAS 登录号 56775-64-5
分子行输入简码 SMILES [C@H]1([C@H]([C@H](O)[C@H](O[C@H]1OCC2=CC=CC=C2)CO[C@H]3[C@@H]([C@@H](O)[C@@H]([C@H](O3)CO)O)O)O)O
国际化学标识码 InChI 1S/C19H28O11/c20-6-10-12(21)14(23)16(25)19(29-10)28-8-11-13(22)15(24)17(26)18(30-11)27-7-9-4-2-1-3-5-9/h1-5,10-26H,6-8H2/t10-,11-,12-,13-,14+,15+,16-,17-,18-,19-/m1/s1
国际化学标识检索码 InChIKey LLEMMFPELBNINR-SKYGPZSASA-N
物理化学性质
密度 1.559g/cm3 (计算值)
沸点 705.926°C at 760 mmHg (计算值)
闪点 380.731°C (计算值)
市场分析报告
请浏览苄基龙胆双糖苷市场分析报告总目录
相关产品
去甲齐美利定  齐美利定二盐酸盐  2-[2-(4-氯苯氧基)-2-甲基丙酰氧基]乙基...  2-[(3-吡啶基羰基)氨基]乙基 2-(4-氯苯...  1-乙酰基-3-乙酰氧基-5',5-二苯基海因  3-羟基咪唑烷-2,4-二酮  3-羟基-5-异丙基海因  3-羟基-5-(2-甲基丙基)-2,4-咪唑烷二酮  荧光增白剂 FWA-1  2,3-二甲基-5-氧代-1-苯基-3-吡唑啉-4...  磺胺林葡甲胺  槲皮素-3-O-半乳糖苷-7-O-葡糖苷  4-羟基-alpha-(4-羟基-2-氧代-2H-...  氮杂环庚-1-基-[7-氯-4-噻吩-2-基-2-...  (3,5-二甲基-4-硝基-1H-吡唑-1-基)乙...