Online Database of Chemicals from Around the World

4-Nitro-Phe(5)-Bradykinin
[CAS# 57164-28-0]

Suppliers
CAS#: 57164-28-0
Product: 4-Nitro-Phe(5)-Bradykinin
No suppilers available for the product.
Identification
Name 4-Nitro-Phe(5)-Bradykinin
Synonyms (2S)-2-[[(2S)-2-[[(2S)-1-[(2S)-2-[[(2S)-2-[[2-[[1-[(2S)-1-[(2S)-2-Amino-5-Guanidino-Pentanoyl]Pyrrolidine-2-Carbonyl]Pyrrolidine-2-Carbonyl]Amino]Acetyl]Amino]-3-(4-Nitrophenyl)Propanoyl]Amino]-3-Hydroxy-Propanoyl]Pyrrolidine-2-Carbonyl]Amino]-3-Phenyl-Propanoyl]Amino]-5-Guanidino-Pentanoic Acid; (2S)-2-[[(2S)-2-[[[(2S)-1-[(2S)-2-[[(2S)-2-[[2-[[[1-[[(2S)-1-[(2S)-2-Amino-5-Guanidino-1-Oxopentyl]-2-Pyrrolidinyl]-Oxomethyl]-2-Pyrrolidinyl]-Oxomethyl]Amino]-1-Oxoethyl]Amino]-3-(4-Nitrophenyl)-1-Oxopropyl]Amino]-3-Hydroxy-1-Oxopropyl]-2-Pyrrolidinyl]-Oxomethyl]Amino]-1-Oxo-3-Phenylpropyl]Amino]-5-Guanidinopentanoic Acid; (2S)-2-[[(2S)-2-[[(2S)-1-[(2S)-2-[[(2S)-2-[[2-[[1-[(2S)-1-[(2S)-2-Amino-5-Guanidino-Pentanoyl]Pyrrolidine-2-Carbonyl]Pyrrolidine-2-Carbonyl]Amino]Acetyl]Amino]-3-(4-Nitrophenyl)Propanoyl]Amino]-3-Hydroxy-Propanoyl]Pyrrolidine-2-Carbonyl]Amino]-3-Phenyl-Propanoyl]Amino]-5-Guanidino-Valeric Acid
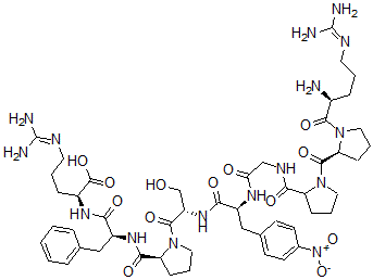
Molecular Structure CAS#: 57164-28-0, 4-Nitro-Phe(5)-Bradykinin
Molecular Formula C50H72N16O13
Molecular Weight 1105.22
CAS Registry Number 57164-28-0
SMILES [C@@H]1(N(CCC1)C(=O)[C@@H](N)CCCN=C(N)N)C(=O)N2C(CCC2)C(=O)NCC(=O)N[C@H](C(=O)N[C@H](C(=O)N3[C@@H](CCC3)C(=O)N[C@@H](CC4=CC=CC=C4)C(=O)N[C@@H](CCCN=C(N)N)C(O)=O)CO)CC5=CC=C([N+]([O-])=O)C=C5
InChI 1S/C50H72N16O13/c51-32(11-4-20-56-49(52)53)45(73)65-24-8-15-39(65)47(75)64-23-6-13-37(64)43(71)58-27-40(68)59-34(26-30-16-18-31(19-17-30)66(78)79)41(69)62-36(28-67)46(74)63-22-7-14-38(63)44(72)61-35(25-29-9-2-1-3-10-29)42(70)60-33(48(76)77)12-5-21-57-50(54)55/h1-3,9-10,16-19,32-39,67H,4-8,11-15,20-28,51H2,(H,58,71)(H,59,68)(H,60,70)(H,61,72)(H,62,69)(H,76,77)(H4,52,53,56)(H4,54,55,57)/t32-,33-,34-,35-,36-,37?,38-,39-/m0/s1
InChIKey SUEBONSZXJWFIE-NRUUKNHRSA-N
Properties
Density 1.545g/cm3 (Cal.)
Market Analysis Reports
List of Reports Available for 4-Nitro-Phe(5)-Bradykinin
Related Products
N-[4-[(Acridine-9-Yl)Amino]Phenyl]-4-Ami...  2'-O-Methyl-3-Deazauridine  N-[(Dibutylamino)Methyl]Acrylamide  5-[(2-Amino-4-Hydroxyphenyl)Azo]-3-[[4'-...  Norstictic acid  3,5-Dibromo-2,2,6,6-Tetramethyl-Piperidi...  3beta,17-Dihydroxy-6alpha-Methylpregn-4-...  (13aS,14R)-3,6,7-Trimethoxy-9,11,12,13,1...  Dipotassium Tetradec-2-Enylsuccinate  Dipotassium Octadec-2-Enylsuccinate  2-(3-Methoxyphenyl)-5H-S-Triazolo(5,1-a)...  2,4-Cycloandrostane-3,17-Diol Diacetate  Benzyl L-Argininate  4-(3-Phenylpropoxy)Phenylamine  2,4-Dimethylbenzenecarbothioamide