Online Database of Chemicals from Around the World

颜料黄 128
[CAS# 57971-97-8]

供应商
CAS#: 57971-97-8
产品: 颜料黄 128
暂时没有厂家供应该产品。
基本信息
产品名称 颜料黄 128
英文名 Pigment Yellow 128
别名 Benzamide, 3,3'-((2-Chloro-5-Methyl-1,4-Phenylene)Bis(Imino(1-Acetyl-2-Oxo-2,1-Ethanediyl)Azo))Bis(4-Chloro-N-(2-(4-Chlorophenoxy)-5-(Trifluoromethyl)Phenyl)-
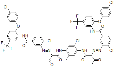
分子结构 CAS 登录号:57971-97-8, 颜料黄 128
分子式 C55H37Cl5F6N8O8
分子量 1229.20
CAS 登录号 57971-97-8
EINECS 登录号 279-356-6
分子行输入简码 SMILES C1=C(C(=CC(=C1NC(C(N=NC2=CC(=CC=C2Cl)C(=O)NC3=CC(=CC=C3OC4=CC=C(C=C4)Cl)C(F)(F)F)C(=O)C)=O)C)NC(C(N=NC5=CC(=CC=C5Cl)C(=O)NC6=CC(=CC=C6OC7=CC=C(C=C7)Cl)C(F)(F)F)C(=O)C)=O)Cl
国际化学标识码 InChI 1S/C55H37Cl5F6N8O8/c1-26-20-41(68-53(80)49(28(3)76)74-72-43-22-30(5-17-38(43)59)51(78)70-45-24-32(55(64,65)66)7-19-47(45)82-36-14-10-34(57)11-15-36)39(60)25-40(26)67-52(79)48(27(2)75)73-71-42-21-29(4-16-37(42)58)50(77)69-44-23-31(54(61,62)63)6-18-46(44)81-35-12-8-33(56)9-13-35/h4-25,48-49H,1-3H3,(H,67,79)(H,68,80)(H,69,77)(H,70,78)
国际化学标识检索码 InChIKey VOCMTGRPDQPZFA-UHFFFAOYSA-N
物理化学性质
密度 1.49g/cm3 (计算值)
沸点 986.7°C at 760 mmHg (计算值)
闪点 550.5°C (计算值)
市场分析报告
请浏览颜料黄 128市场分析报告总目录
相关产品
Locasalen  2',3'-O-异亚丙基胞苷盐酸盐  4-甲基-7-吗啉基-2H-吡喃并[2,3-b]吡...  异烟醛 O-甲基肟  (Z,E)-十三-4,7-二烯-1-基乙酸酯  (Z,E)-十三-4,7-二烯-1-醇  2-氯-1,4-亚苯基二乙酸酯  壬二酸二(仲丁基)酯  氨三乙酸铋钠盐  1-(4-溴-苯基)-2-(5-吡啶-3-基-[1...  戊酸氧代铋基酯  1,2-二乙氧基-1,2-二氯乙烷  7,8-二氯-1,2,3,4-四氢异喹啉鎓氯化物  3-溴-2-丁醇乙酸酯  4-(对甲苯基)哌啶-4-醇