Online Database of Chemicals from Around the World

3-去氧代-3-羟基克念菌素 D
[CAS# 58591-23-4]

供应商
CAS#: 58591-23-4
产品: 3-去氧代-3-羟基克念菌素 D
暂时没有厂家供应该产品。
基本信息
产品名称 3-去氧代-3-羟基克念菌素 D
英文名 3-Deoxo-3-Hydroxycandicidin D
别名 (23E,25E,27E,29E,31E,33E,35E)-22-(4-Amino-3,5-Dihydroxy-6-Methyl-Tetrahydropyran-2-Yl)Oxy-38-[6-(4-Aminophenyl)-4-Hydroxy-1,3-Dimethyl-6-Oxo-Hexyl]-4,10,12,14,18,20-Hexahydroxy-37-Methyl-2,8,16-Trioxo-1-Oxacyclooctatriaconta-23,25,27,29,31,33,35-Heptaene-19-Carboxylic Acid; (23E,25E,27E,29E,31E,33E,35E)-22-[(4-Amino-3,5-Dihydroxy-6-Methyl-2-Tetrahydropyranyl)Oxy]-38-[6-(4-Aminophenyl)-4-Hydroxy-1,3-Dimethyl-6-Oxohexyl]-4,10,12,14,18,20-Hexahydroxy-37-Methyl-2,8,16-Trioxo-1-Oxacyclooctatriaconta-23,25,27,29,31,33,35-Heptaene-19-Carboxylic Acid; (23E,25E,27E,29E,31E,33E,35E)-22-(4-Amino-3,5-Dihydroxy-6-Methyl-Tetrahydropyran-2-Yl)Oxy-38-[6-(4-Aminophenyl)-4-Hydroxy-6-Keto-1,3-Dimethyl-Hexyl]-4,10,12,14,18,20-Hexahydroxy-2,8,16-Triketo-37-Methyl-1-Oxacyclooctatriaconta-23,25,27,29,31,33,35-Heptaene-19-Carboxylic Acid
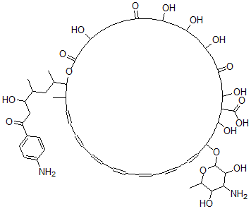
分子结构 CAS 登录号:58591-23-4, 3-去氧代-3-羟基克念菌素 D
分子式 C59H86N2O18
分子量 1111.33
CAS 登录号 58591-23-4
分子行输入简码 SMILES C3=C(C(=O)CC(O)C(CC(C2OC(=O)CC(O)CCCC(=O)CC(O)CC(O)CC(O)CC(=O)CC(O)C(C(O)CC(OC1OC(C(O)C(N)C1O)C)\C=C\C=C\C=C\C=C\C=C\C=C\C=C\C2C)C(=O)O)C)C)C=CC(=C3)N
国际化学标识码 InChI 1S/C59H86N2O18/c1-35-18-15-13-11-9-7-5-6-8-10-12-14-16-21-47(78-59-56(74)54(61)55(73)38(4)77-59)33-51(71)53(58(75)76)50(70)31-46(67)30-45(66)29-44(65)28-43(64)27-41(62)19-17-20-42(63)32-52(72)79-57(35)37(3)26-36(2)48(68)34-49(69)39-22-24-40(60)25-23-39/h5-16,18,21-25,35-38,42-45,47-48,50-51,53-57,59,63-66,68,70-71,73-74H,17,19-20,26-34,60-61H2,1-4H3,(H,75,76)/b6-5+,9-7+,10-8+,13-11+,14-12+,18-15+,21-16+
国际化学标识检索码 InChIKey BVEQUWMYNKLPDF-DVODSNNVSA-N
市场分析报告
请浏览3-去氧代-3-羟基克念菌素 D市场分析报告总目录
相关产品
2,2'-[辛烷-1,8-二基二(硫代)]二乙醇  1-氯-2-甲基萘  前告伊春  5-[二(甲基磺酰基)氨基]-1-[(甲基磺酰基)...  5-[N,N-二(甲基磺酰基)氨基]-1-甲基磺酰...  5-(乙酰氨基)-1-(乙酰氧基)萘-2-磺酰氯  1-乙酰氧基-5-乙酰氨基-2-萘磺酸钠盐  N-[2-氯-5-(三氟甲基)苯基]-3-氧代丁酰...  3-(4-甲基苯基)-1,2,4-恶二唑-5-基]...  (四氯-1,4-亚苯基)二亚甲基二丙烯酸酯  (四氯-1,3-亚苯基)二(亚甲基)二甲基丙烯酸酯  (四氯-1,4-亚苯基)二(亚甲基)二甲基丙烯酸酯  氨基喋呤  2-丁烯-1,1-二基二乙酸酯  1-异丙基肼甲腈