Online Database of Chemicals from Around the World

甲基 6-O-(2-十四烷基-3-羟基十八碳酰基)-alpha-D-吡喃葡萄糖苷
[CAS# 59578-07-3]

供应商
CAS#: 59578-07-3
产品: 甲基 6-O-(2-十四烷基-3-羟基十八碳酰基)-alpha-D-吡喃葡萄糖苷
暂时没有厂家供应该产品。
基本信息
产品名称 甲基 6-O-(2-十四烷基-3-羟基十八碳酰基)-alpha-D-吡喃葡萄糖苷
英文名 Methyl 6-O-(2-tetradecyl-3-hydroxyoctadecanoyl)-alpha-D-glucopyranoside
别名 [(2R,3S,4S,5R,6S)-3,4,5-Trihydroxy-6-Methoxy-Tetrahydropyran-2-Yl]Methyl 3-Hydroxy-2-Tetradecyl-Octadecanoate; 3-Hydroxy-2-Tetradecyloctadecanoic Acid [(2R,3S,4S,5R,6S)-3,4,5-Trihydroxy-6-Methoxy-2-Tetrahydropyranyl]Methyl Ester; 3-Hydroxy-2-Myristyl-Stearic Acid [(2R,3S,4S,5R,6S)-3,4,5-Trihydroxy-6-Methoxy-Tetrahydropyran-2-Yl]Methyl Ester
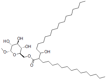
分子结构 CAS 登录号:59578-07-3, 甲基 6-O-(2-十四烷基-3-羟基十八碳酰基)-alpha-D-吡喃葡萄糖苷
分子式 C39H76O8
分子量 673.02
CAS 登录号 59578-07-3
分子行输入简码 SMILES [C@@H]1(OC)[C@H](O)[C@@H](O)[C@H](O)[C@H](O1)COC(C(C(CCCCCCCCCCCCCCC)O)CCCCCCCCCCCCCC)=O
国际化学标识码 InChI 1S/C39H76O8/c1-4-6-8-10-12-14-16-18-20-22-24-26-28-30-33(40)32(29-27-25-23-21-19-17-15-13-11-9-7-5-2)38(44)46-31-34-35(41)36(42)37(43)39(45-3)47-34/h32-37,39-43H,4-31H2,1-3H3/t32?,33?,34-,35-,36+,37-,39+/m1/s1
国际化学标识检索码 InChIKey DHOOQUJZKYZLSU-LTIYOBRQSA-N
物理化学性质
密度 1.031g/cm3 (计算值)
沸点 745.454°C at 760 mmHg (计算值)
闪点 211.058°C (计算值)
市场分析报告
请浏览甲基 6-O-(2-十四烷基-3-羟基十八碳酰基)-alpha-D-吡喃葡萄糖苷市场分析报告总目录
相关产品
6,6'-Di-O-Mycoloyl-alpha-...  二溴二氢肉桂酸冰片酯  2-(4-十二烷基苯甲酰基)苯甲酸  2-(烯丙氧基)-5-氨基-N-环己基苯甲酰胺  2-[丁基[4-(2,2-二氰基乙烯基)-3-甲基...  4-[[(4-氯苯基)亚氨基]甲基]苯甲酸甲酯  4-羟基-3'-甲氧基联苄  1,1,1-三硝基乙烷  2-乙基己基壬酸酯  1,2,3-三溴-5-(4-溴苯基)苯  N-乙基乙胺  1H-吲唑-3-基苯基甲酮  二正丁基锡甘氨酰甘氨酸盐  新斯拉霉素 B  新斯拉霉素 A