Online Database of Chemicals from Around the World

2-癸基-1,4,7,10,13,16-六氧杂环十八烷
[CAS# 60742-60-1]

供应商
International Laboratory Limited 美国 询价快递  
+1 (650) 278-9963
admin@intlab.org
化学品生产商(2002 年起)
Merck Millipore 美国 询价快递  
+86 (10) 5989-8600
asiatechserv@millipore.com
化学品生产商(1954 年起)
基本信息
产品名称 2-癸基-1,4,7,10,13,16-六氧杂环十八烷
英文名 2-Decyl-1,4,7,10,13,16-Hexaoxacyclooctadecane
别名 2-DECYL-1,4,7,10,13,16-HEXAOXACYCLO-OCTADECANE
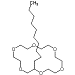
分子结构 CAS 登录号:60742-60-1, 2-癸基-1,4,7,10,13,16-六氧杂环十八烷
分子式 C22H44O6
分子量 404.58
CAS 登录号 60742-60-1
分子行输入简码 SMILES O1CCOCCOCCOCC(OCCOCC1)CCCCCCCCCC
国际化学标识码 InChI 1S/C22H44O6/c1-2-3-4-5-6-7-8-9-10-22-21-27-18-17-25-14-13-23-11-12-24-15-16-26-19-20-28-22/h22H,2-21H2,1H3
国际化学标识检索码 InChIKey YYGGFNZADNMHNJ-UHFFFAOYSA-N
物理化学性质
密度 0.93g/cm3 (计算值)
20 (实验值)
沸点 514.03°C at 760 mmHg (计算值)
闪点 197.952°C (计算值)
市场分析报告
请浏览2-癸基-1,4,7,10,13,16-六氧杂环十八烷市场分析报告总目录
相关产品
1,6-二硝基萘  N-(2-溴苯基)丙酰胺  (2E)-3-苯基-N-(1-苯基-2-丙基)-2...  1-烯丙基-1-甲氧基环己烷  N-苄基-N,N-二丁基-1-丁烷铵碘化物  1-(4-甲氧基苯基)-4-苯基-1,4-丁烷二酮  (4aS,6R,8aS)-11-甲基-5,6,9,...  3,4-二乙氧基苯甲腈  2-(2-甲氧基苯氧基)硫代乙酰胺  4-(1,3-噻唑-4-基)苯胺  6'-甲氧基辛可宁-3,9-二醇  砷酸铝盐水合物(1:1:8)  1-戊烯-1-醇  (3aR,7aR)-3a-甲基八氢-1H-茚-1-...  (3aR)-3a-甲基-2,3,3a,4,5,6-...