Online Database of Chemicals from Around the World

炔诺醇睾酮酯
[CAS# 61083-04-3]

供应商
CAS#: 61083-04-3
产品: 炔诺醇睾酮酯
暂时没有厂家供应该产品。
基本信息
产品名称 炔诺醇睾酮酯
英文名 Ethynodiol Testosterone Ester
别名 Butanedioic Acid [(8R,9S,10R,13S,14S,17S)-10,13-Dimethyl-3-Oxo-1,2,6,7,8,9,11,12,14,15,16,17-Dodecahydrocyclopenta[A]Phenanthren-17-Yl] Ester [(3S,10R,13S,17R)-17-Ethynyl-17-Hydroxy-13-Methyl-2,3,6,7,8,9,10,11,12,14,15,16-Dodecahydro-1H-Cyclopenta[A]Phenanthren-3-Yl] Ester; Succinic Acid [(8R,9S,10R,13S,14S,17S)-3-Keto-10,13-Dimethyl-1,2,6,7,8,9,11,12,14,15,16,17-Dodecahydrocyclopenta[A]Phenanthren-17-Yl] Ester [(3S,10R,13S,17R)-17-Ethynyl-17-Hydroxy-13-Methyl-2,3,6,7,8,9,10,11,12,14,15,16-Dodecahydro-1H-Cyclopenta[A]Phenanthren-3-Yl] Ester; 3-Oxo-4-Androsten-17-Beta-Yl-(17-Beta-Hydroxy-17-Alpha-Ethynyl-4-Estren-3-Beta-Yl)-Succinate
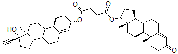
分子结构 CAS 登录号:61083-04-3, 炔诺醇睾酮酯
分子式 C43H58O6
分子量 670.93
CAS 登录号 61083-04-3
分子行输入简码 SMILES [C@H]68[C@H]5[C@@]([C@@H](OC(=O)CCC(O[C@@H]4C=C3[C@@H](C2C(C1[C@@]([C@@](O)(CC1)C#C)(CC2)C)CC3)CC4)=O)CC5)(CC[C@@H]6[C@@]7(C(=CC(=O)CC7)CC8)C)C
国际化学标识码 InChI 1S/C43H58O6/c1-5-43(47)23-19-36-32-9-6-26-24-29(8-11-30(26)31(32)17-22-42(36,43)4)48-38(45)14-15-39(46)49-37-13-12-34-33-10-7-27-25-28(44)16-20-40(27,2)35(33)18-21-41(34,37)3/h1,24-25,29-37,47H,6-23H2,2-4H3/t29-,30-,31?,32?,33-,34-,35-,36?,37-,40-,41-,42-,43-/m0/s1
国际化学标识检索码 InChIKey SXTNFDJCRGXTJI-KOLYNAKGSA-N
市场分析报告
请浏览炔诺醇睾酮酯市场分析报告总目录
相关产品
(2-((氯甲酰基)氧基)乙基)三苯基鏻氯化物  八乙基卟啉铁  N-氰基-N'-(2-巯基乙基)-N''-甲基胍  1-苄基-4-[(4-氟苯基)氨基]哌啶-4-甲腈  1-苄基-4-[(4-氟苯基)氨基]哌啶-4-甲酰...  顺式-4-苯胺基-4-氨基甲酰-3-甲基哌啶-1-...  1-苄基-4-(苯基氨基)哌啶-4-羧酸钠  1-苄基-4-[(丙酰基)苯基氨基]哌啶-4-羧酸...  顺式-3-甲基-4-(苯基氨基)哌啶-4-甲酰胺  顺式-3-甲基-1-苯乙基-4-(苯基氨基)哌啶-...  顺式-4-苯胺基-3-甲基-1-苯乙基哌啶-4-羧...  1-苄基-4-(苯基氨基)哌啶-4-甲醇  N-[1-苄基-4-(甲氧基甲基)哌啶-4-基]-...  N-[1-苄基-4-(甲氧基甲基)-4-哌啶基]-...  顺式,顺式-2,4-己二烯