Identification
| Name |
1,2-Di(9,10-Dibromostearoyl)Phosphatidylcholine |
| Synonyms |
2,3-Bis(9,10-Dibromooctadecanoyloxy)Propyl 2-Trimethylammonioethyl Phosphate; 2,3-Bis(9,10-Dibromo-1-Oxooctadecoxy)Propyl 2-Trimethylammonioethyl Phosphate; 1,2-Di-(9,10-Dibromostearoyl)-Sn-Glycero-3-Phosphocholine |
|
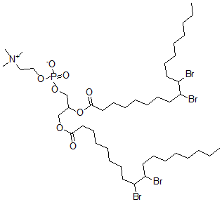
| Molecular Structure |
 |
| Molecular Formula |
C44H84Br4NO8P |
| Molecular Weight |
1105.74 |
| CAS Registry Number |
61596-55-2 |
| SMILES |
C(O[P](OCC[N+](C)(C)C)([O-])=O)C(OC(=O)CCCCCCCC(Br)C(Br)CCCCCCCC)COC(=O)CCCCCCCC(Br)C(Br)CCCCCCCC |
| InChI |
1S/C44H84Br4NO8P/c1-6-8-10-12-16-22-28-39(45)41(47)30-24-18-14-20-26-32-43(50)54-36-38(37-56-58(52,53)55-35-34-49(3,4)5)57-44(51)33-27-21-15-19-25-31-42(48)40(46)29-23-17-13-11-9-7-2/h38-42H,6-37H2,1-5H3 |
| InChIKey |
YUUHMVDKYQRXLY-UHFFFAOYSA-N |
|