Online Database of Chemicals from Around the World

Des-N-tetramethyltriostin A
[CAS# 63478-55-7]

Suppliers
CAS#: 63478-55-7
Product: Des-N-tetramethyltriostin A
No suppilers available for the product.
Identification
Name Des-N-tetramethyltriostin A
Synonyms N-[11,24-Dimethyl-2,5,9,12,15,18,22,25-Octaoxo-8-[[Oxo-(2-Quinoxalinyl)Methyl]Amino]-4,17-Dipropyl-6,19-Dioxa-28,29-Dithia-3,10,13,16,23,26-Hexazabicyclo[12.12.4]Triacontan-21-Yl]-2-Quinoxalinecarboxamide; N-[2,5,9,12,15,18,22,25-Octaketo-11,24-Dimethyl-4,17-Dipropyl-8-(Quinoxaline-2-Carbonylamino)-6,19-Dioxa-28,29-Dithia-3,10,13,16,23,26-Hexazabicyclo[12.12.4]Triacontan-21-Yl]Quinoxaline-2-Carboxamide; N-[11,24-Dimethyl-2,5,9,12,15,18,22,25-Octaoxo-4,17-Dipropyl-8-(Quinoxalin-2-Ylcarbonylamino)-6,19-Dioxa-28,29-Dithia-3,10,13,16,23,26-Hexazabicyclo[12.12.4]Triacontan-21-Yl]Quinoxaline-2-Carboxamide
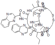
Molecular Structure CAS#: 63478-55-7, Des-N-tetramethyltriostin A
Molecular Formula C46H54N12O12S2
Molecular Weight 1031.13
CAS Registry Number 63478-55-7
SMILES C2=NC1=CC=CC=C1N=C2C(=O)NC5C(=O)NC(C(=O)NC6C(=O)NC(C(OCC(NC(=O)C4=NC3=CC=CC=C3N=C4)C(=O)NC(C(=O)NC(C(=O)NC(C(OC5)=O)CCC)CSSC6)C)=O)CCC)C
InChI 1S/C46H54N12O12S2/c1-5-11-29-45(67)69-19-33(55-39(61)31-17-47-25-13-7-9-15-27(25)51-31)41(63)49-24(4)38(60)58-36-22-72-71-21-35(43(65)53-29)57-37(59)23(3)50-42(64)34(20-70-46(68)30(12-6-2)54-44(36)66)56-40(62)32-18-48-26-14-8-10-16-28(26)52-32/h7-10,13-18,23-24,29-30,33-36H,5-6,11-12,19-22H2,1-4H3,(H,49,63)(H,50,64)(H,53,65)(H,54,66)(H,55,61)(H,56,62)(H,57,59)(H,58,60)
InChIKey JLZYVPLGZIDPEB-UHFFFAOYSA-N
Properties
Density 1.466g/cm3 (Cal.)
Boiling point 1539.455°C at 760 mmHg (Cal.)
Flash point 884.83°C (Cal.)
Market Analysis Reports
List of Reports Available for Des-N-tetramethyltriostin A
Related Products
Doleron  4-Vinylcyclohexene-1,4-Dicarbaldehyde  6-Chloro-2-(2-Chloropropyl)-2,3-Dihydro-...  Desisopropylprocaterol  1-(Hydroxymethyl)-7,8-Dioxabicyclo[3.2.1...  3,3'-Methylenebis[Tetrahydro-2H-1,3-Oxaz...  (Z)-3,4-Dihydro-1-(2-Hydroxy-3,4-Dimetho...  (1aalpha,7alpha,3beta,11balpha)-1a,2,3,1...  7,8,9,10-Tetrahydro-1,7,8,10,11-Pentahyd...  2-[Ethyl(3-Methyl-4-Nitrosophenyl)Amino]...  Calcium Hydrogen 3-[(4-Hydroxy-3-Sulphon...  (Isobutylidene)Benzohydrazide  Formaldehyde, Polymer With 4-Methyl-2-No...  Formaldehyde Polymer With Dinonylphenol ...  4,5-Dihydro-alpha-Methyl-2-Undecyl-1H-Im...