基本信息
| 产品名称 |
1,2-二月桂酰-甘油-3-磷酰胆碱 |
| 英文名 |
1,2-Didodecanoyl-Glycero-3-Phosphocholine |
| 别名 |
[1-[(2,3-Dihydroxypropoxy-Hydroxy-Phosphoryl)Oxymethyl]-2-Dodecanoyloxy-Ethyl] Dodecanoate; Dodecanoic Acid [1-[(2,3-Dihydroxypropoxy-Hydroxyphosphoryl)Oxymethyl]-2-(1-Oxododecoxy)Ethyl] Ester; Lauric Acid [1-[(Glyceryloxy-Hydroxy-Phosphoryl)Oxymethyl]-2-Lauroyloxy-Ethyl] Ester |
|
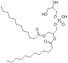
| 分子结构 |
 |
| 分子式 |
C30H59O10P |
| 分子量 |
610.76 |
| CAS 登录号 |
63644-55-3 |
| 分子行输入简码 SMILES |
C(C(COC(CCCCCCCCCCC)=O)OC(CCCCCCCCCCC)=O)O[P](OCC(CO)O)(O)=O |
| 国际化学标识码 InChI |
1S/C30H59O10P/c1-3-5-7-9-11-13-15-17-19-21-29(33)37-25-28(26-39-41(35,36)38-24-27(32)23-31)40-30(34)22-20-18-16-14-12-10-8-6-4-2/h27-28,31-32H,3-26H2,1-2H3,(H,35,36) |
| 国际化学标识检索码 InChIKey |
LHCZDUCPSRJDJT-UHFFFAOYSA-N |
|