Online Database of Chemicals from Around the World

多黏菌素 S1
[CAS# 63700-38-9]

供应商
CAS#: 63700-38-9
产品: 多黏菌素 S1
暂时没有厂家供应该产品。
基本信息
产品名称 多黏菌素 S1
英文名 Polymyxin S1
别名 N-[3-Amino-1-[[2-Hydroxy-1-[[1-(Hydroxymethyl)-2-Oxo-2-[[6,9,18-Tris(2-Aminoethyl)-3,12-Bis(1-Hydroxyethyl)-2,5,8,11,14,17,20-Heptaoxo-15-(Phenylmethyl)-1,4,7,10,13,16,19-Heptazacyclotricos-21-Yl]Amino]Ethyl]Carbamoyl]Propyl]Carbamoyl]Propyl]-6-Methyl-Octanamide; N-[3-Amino-1-[[[2-Hydroxy-1-[[[1-(Hydroxymethyl)-2-Oxo-2-[[6,9,18-Tris(2-Aminoethyl)-3,12-Bis(1-Hydroxyethyl)-2,5,8,11,14,17,20-Heptaoxo-15-(Phenylmethyl)-1,4,7,10,13,16,19-Heptazacyclotricos-21-Yl]Amino]Ethyl]Amino]-Oxomethyl]Propyl]Amino]-Oxomethyl]Propyl]-6-Methyloctanamide; N-[3-Amino-1-[[2-Hydroxy-1-[[2-Keto-1-Methylol-2-[[6,9,18-Tris(2-Aminoethyl)-15-(Benzyl)-3,12-Bis(1-Hydroxyethyl)-2,5,8,11,14,17,20-Heptaketo-1,4,7,10,13,16,19-Heptazacyclotricos-21-Yl]Amino]Ethyl]Carbamoyl]Propyl]Carbamoyl]Propyl]-6-Methyl-Caprylamide
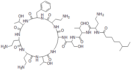
分子结构 CAS 登录号:63700-38-9, 多黏菌素 S1
分子式 C53H91N15O15
分子量 1178.39
CAS 登录号 63700-38-9
分子行输入简码 SMILES C2=C(CC1NC(=O)C(NC(=O)C(NC(=O)C(NC(=O)C(NC(=O)C(NC(=O)CCCCC(CC)C)CCN)C(O)C)CO)CCNC(=O)C(NC(=O)C(NC(=O)C(NC(=O)C(NC1=O)C(O)C)CCN)CCN)C(O)C)CCN)C=CC=C2
国际化学标识码 InChI 1S/C53H91N15O15/c1-6-28(2)12-10-11-15-40(73)59-33(16-21-54)47(77)67-43(31(5)72)53(83)65-39(27-69)50(80)62-37-20-25-58-51(81)41(29(3)70)66-48(78)36(19-24-57)61-44(74)35(18-23-56)63-52(82)42(30(4)71)68-49(79)38(26-32-13-8-7-9-14-32)64-45(75)34(17-22-55)60-46(37)76/h7-9,13-14,28-31,33-39,41-43,69-72H,6,10-12,15-27,54-57H2,1-5H3,(H,58,81)(H,59,73)(H,60,76)(H,61,74)(H,62,80)(H,63,82)(H,64,75)(H,65,83)(H,66,78)(H,67,77)(H,68,79)
国际化学标识检索码 InChIKey QKTORMYLLAWGLE-UHFFFAOYSA-N
物理化学性质
密度 1.332g/cm3 (计算值)
沸点 1616.96°C at 760 mmHg (计算值)
闪点 931.704°C (计算值)
市场分析报告
请浏览多黏菌素 S1市场分析报告总目录
相关产品
多黏菌素 T1  酸性蓝 158 A  二异十二烷基萘磺酸铵  二异十二烷基萘磺酸钠  (5R,6S)-3-[[2-(乙酰氨基)乙基]硫代...  1-(2,5-二甲氧基苯基)-5-[[(4-甲氧基...  S(-)-巴氯芬盐酸盐  3-甲氧基-17-甲基吗喃-4,8alpha-二醇  N,N-二乙基-4-亚硝基邻甲苯胺  2-[(4-乙氧基苯基)偶氮]对甲酚  1-(2,5-二氯苯基)-3,4-二氢-4,4,6...  7-(1,2,3,4-四氢-4,4,6-三甲基-2...  3,4-二氢-1-(M-羟基苯基)-4,4,6-三...  3,4-二氢-1-(O-羟基苯基)-4,4,6-三...  3,4-二氢-1-(1-萘基)-4,4,6-三甲基...