Online Database of Chemicals from Around the World

16-羟基-19-(1-羟基乙基)-6,15,27-三甲基-12H,24H-螺[2,5,11,14,18,25-六氧杂六环[24.2.1.03,9.04,6.09,27.013,15]二十九-20,22-二烯-28,2'-环氧乙烷]-12,24-二酮
[CAS# 63814-58-4]

供应商
CAS#: 63814-58-4
产品: 16-羟基-19-(1-羟基乙基)-6,15,27-三甲基-12H,24H-螺[2,5,11,14,18,25-六氧杂六环[24.2.1.03,9.04,6.09,27.013,15]二十九-20,22-二烯-28,2'-环氧乙烷]-12,24-二酮
暂时没有厂家供应该产品。
基本信息
产品名称 16-羟基-19-(1-羟基乙基)-6,15,27-三甲基-12H,24H-螺[2,5,11,14,18,25-六氧杂六环[24.2.1.03,9.04,6.09,27.013,15]二十九-20,22-二烯-28,2'-环氧乙烷]-12,24-二酮
英文名 16-Hydroxy-19-(1-Hydroxyethyl)-6,15,27-Trimethyl-12H,24H-Spiro[2,5,11,14,18,25-Hexaoxahexacyclo[24.2.1.03,9.04,6.09,27.013,15]Nonacosa-20,22-Diene-28,2'-Oxirane]-12,24-Dione
别名 B800157K386
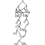
分子结构 CAS 登录号:63814-58-4, 16-羟基-19-(1-羟基乙基)-6,15,27-三甲基-12H,24H-螺[2,5,11,14,18,25-六氧杂六环[24.2.1.0<sup>3,9</sup>.0<sup>4,6</sup>.0<sup>9,27</sup>.0<sup>13,15</sup>]二十九-20,22-二烯-28,2'-环氧乙烷]-12,24-二酮
分子式 C29H38O11
分子量 562.61
CAS 登录号 63814-58-4
分子行输入简码 SMILES O=C/6OC5CC4OC2C1OC1(C)CCC2(C5(C)C34OC3)COC(=O)C7OC7(C)C(O)COC(\C=C\C=C\6)C(O)C
国际化学标识码 InChI 1S/C29H38O11/c1-15(30)16-7-5-6-8-20(32)37-18-11-19-29(14-36-29)27(18,4)28(10-9-25(2)21(39-25)22(28)38-19)13-35-24(33)23-26(3,40-23)17(31)12-34-16/h5-8,15-19,21-23,30-31H,9-14H2,1-4H3/b7-5-,8-6-
国际化学标识检索码 InChIKey DGBITFNXKQHKLI-SFECMWDFSA-N
物理化学性质
密度 1.424g/cm3 (计算值)
沸点 799.088°C at 760 mmHg (计算值)
闪点 263.755°C (计算值)
市场分析报告
请浏览16-羟基-19-(1-羟基乙基)-6,15,27-三甲基-12H,24H-螺[2,5,11,14,18,25-六氧杂六环[24.2.1.03,9.04,6.09,27.013,15]二十九-20,22-二烯-28,2'-环氧乙烷]-12,24-二酮市场分析报告总目录
相关产品
N-(1-乙基-1H-四唑-5-基)-2-糠酰胺  N-(1-乙基-1H-四唑-5-基)-2-噻吩甲酰...  N-(1-乙基-1H-四唑-5-基)苯甲酰胺  N-(1-乙基-1H-四唑-5-基)-4-异丙基苯...  4-异丙基-N-(1-甲基-1H-四唑-5-基)苯...  N-(1-乙基-1H-四唑-5-基)-3-甲氧基苯...  3-乙氧基-N-(1-甲基-1H-四唑-5-基)苯...  4-(1,3-苯并恶唑-2-基)-2,6-二溴苯胺  4,6-二溴-3-(5,7-二甲基-1,3-苯并恶...  4,6-二溴-2-甲基-3-(5-甲基-1,3-苯...  2,4-二溴-3-(5-异丙基-1,3-苯并恶唑-...  5-(4-氯-3-硝基苯基)-2-糠酰氯  3,4-二乙基-2H-苯并吡喃-2-酮  9,10-二氢菲  乙基(4-乙基-4-甲基-2-氧代-1,3-恶唑烷...