Online Database of Chemicals from Around the World

3-(4-氯苯氧基)-2-甲基-1,2-丙烷二醇
[CAS# 63834-70-8]

供应商
Achemica 瑞士 询价快递  
+41 (24) 466-2929
contact@achemica.com
化学品生产商(2010 年起)
基本信息
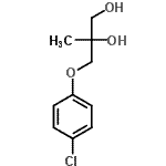
产品名称 3-(4-氯苯氧基)-2-甲基-1,2-丙烷二醇
英文名 3-(4-Chlorophenoxy)-2-Methyl-1,2-Propanediol
别名 1,2-Propanediol, 3-(p-chlorophenoxy)-2-methyl-; 3-(p-Chlorophenoxy)-2-methyl-1,2-propanediol; 4-06-00-00832 (Beilstein Handbook Reference)
分子结构 CAS 登录号:63834-70-8, 3-(4-氯苯氧基)-2-甲基-1,2-丙烷二醇
分子式 C10H13ClO3
分子量 216.66
CAS 登录号 63834-70-8
分子行输入简码 SMILES Clc1ccc(OCC(O)(C)CO)cc1
国际化学标识码 InChI 1S/C10H13ClO3/c1-10(13,6-12)7-14-9-4-2-8(11)3-5-9/h2-5,12-13H,6-7H2,1H3
国际化学标识检索码 InChIKey RJMZBTNNGWVNEW-UHFFFAOYSA-N
物理化学性质
密度 1.275g/cm3 (计算值)
沸点 371.025°C at 760 mmHg (计算值)
闪点 178.19°C (计算值)
市场分析报告
请浏览3-(4-氯苯氧基)-2-甲基-1,2-丙烷二醇市场分析报告总目录
相关产品
3-(2-氯-6-丙基苯氧基)-1,2-丙烷二醇  6-氯-3-乙氧基-4-硝基哒嗪e1-氧化物  2-丙氧基苯酚  二丁基苹果酸酯  1,3,5-三环己基-1,3,5-三嗪烷  钠4-[2-乙基-2-(羟基甲基)丁氧基]-4-氧...  2,2-二乙基-1-苯基-1,3-丙烷二醇  3-[(2-乙氧基苄基)氧基]-1,2-丙烷二醇  3-[(4-乙氧基苄基)氧基]-1,2-丙烷二醇  3-(2-乙氧基苯氧基)-1,2-丙烷二醇  3-(4-乙氧基苯氧基)-1,2-丙烷二醇  3-(十八烷基氨基)丙腈  6-甲氧基-5-甲基-2,2'-联吡啶  1,3-苯并恶唑-5-胺  1,3-环庚二烯-1-甲酰胺