Online Database of Chemicals from Around the World

4-乙基-3-(3-己炔-1-基)-1,2-二硫环丁烯1,1-二氧化物
[CAS# 640293-49-8]

供应商
深圳爱拓化学有限公司 中国 询价快递  
+86 13417589054//+86 13424336463
info@atomaxchem.com,atomax.chemicals@gmail.com,
QQ 交流
化学品生产商
基本信息
产品名称 4-乙基-3-(3-己炔-1-基)-1,2-二硫环丁烯1,1-二氧化物
英文名 4-Ethyl-3-(3-hexyn-1-yl)-1,2-dithiete 1,1-dioxide
别名 4-ethyl-3-(hex-3-yn-1-yl)-1,2-dithiete 1,1-dioxide
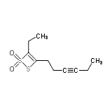
分子结构 CAS 登录号:640293-49-8, 4-乙基-3-(3-己炔-1-基)-1,2-二硫环丁烯1,1-二氧化物
分子式 C10H14O2S2
分子量 230.35
CAS 登录号 640293-49-8
分子行输入简码 SMILES CCC#CCCC1=C(S(=O)(=O)S1)CC
国际化学标识码 InChI 1S/C10H14O2S2/c1-3-5-6-7-8-9-10(4-2)14(11,12)13-9/h3-4,7-8H2,1-2H3
国际化学标识检索码 InChIKey BZEUKZVULXYIQO-UHFFFAOYSA-N
物理化学性质
密度 1.207g/cm3 (计算值)
沸点 365.072°C at 760 mmHg (计算值)
闪点 174.59°C (计算值)
折射率 1.548 (计算值)
市场分析报告
请浏览4-乙基-3-(3-己炔-1-基)-1,2-二硫环丁烯1,1-二氧化物市场分析报告总目录
相关产品
1,5-二乙基-4-亚甲基-6,7-二硫杂双环[3...  N-(2-甲基苄基)丙酰胺  4-甲基-2-吡啶甲酰氯  4-乙基-2-吡啶甲酰氯  4-(三氟甲基)-2-吡啶甲酰氯  4-氰基-2-吡啶甲酰氯  4-氰基-2-吡啶羧酸  N-苯基-L-脯氨酰胺  4-乙炔基-2,2,4,5-四甲基-1,3-二氧戊...  2,4-二乙炔基-2,4-二甲基-1,3-二氧戊环  12-(四氢-2H-吡喃-2-基氧基)-3-十二碳...  2,4-十七二炔酸  2,4-十七二炔-1-醇  5-氯-4-甲基-1,3-苯并噻唑-2(3H)-硫...  2-[2-(4-吗啉基)乙氧基]苯胺