Online Database of Chemicals from Around the World

1-[2-[[2-[[2-[[2-[2,5-Dioxo-3-(Tetratetracontenyl)-1-Pyrrolidinyl]Ethyl]Amino]Ethyl]Amino]Ethyl]Amino]Ethyl]-3-(Octatriacontenyl)Pyrrolidine-2,5-Dione
[CAS# 64347-03-1]

Suppliers
CAS#: 64347-03-1
Product: 1-[2-[[2-[[2-[[2-[2,5-Dioxo-3-(Tetratetracontenyl)-1-Pyrrolidinyl]Ethyl]Amino]Ethyl]Amino]Ethyl]Amino]Ethyl]-3-(Octatriacontenyl)Pyrrolidine-2,5-Dione
No suppilers available for the product.
Identification
Name 1-[2-[[2-[[2-[[2-[2,5-Dioxo-3-(Tetratetracontenyl)-1-Pyrrolidinyl]Ethyl]Amino]Ethyl]Amino]Ethyl]Amino]Ethyl]-3-(Octatriacontenyl)Pyrrolidine-2,5-Dione
Synonyms 1-[2-[2-[2-[2-[3-[(E)-Octatriacont-1-Enyl]-2,5-Dioxo-Pyrrolidin-1-Yl]Ethylamino]Ethylamino]Ethylamino]Ethyl]-3-[(E)-Tetratetracont-1-Enyl]Pyrrolidine-2,5-Dione; 1-[2-[2-[2-[2-[3-[(E)-Octatriacont-1-Enyl]-2,5-Dioxo-1-Pyrrolidinyl]Ethylamino]Ethylamino]Ethylamino]Ethyl]-3-[(E)-Tetratetracont-1-Enyl]Pyrrolidine-2,5-Dione; 1-[2-[2-[2-[2-[2,5-Diketo-3-[(E)-Octatriacont-1-Enyl]Pyrrolidin-1-Yl]Ethylamino]Ethylamino]Ethylamino]Ethyl]-3-[(E)-Tetratetracont-1-Enyl]Pyrrolidine-2,5-Quinone
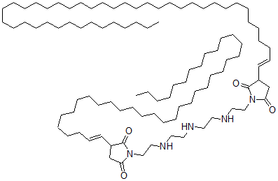
Molecular Structure CAS#: 64347-03-1, 1-[2-[[2-[[2-[[2-[2,5-Dioxo-3-(Tetratetracontenyl)-1-Pyrrolidinyl]Ethyl]Amino]Ethyl]Amino]Ethyl]Amino]Ethyl]-3-(Octatriacontenyl)Pyrrolidine-2,5-Dione
Molecular Formula C98H187N5O4
Molecular Weight 1499.59
CAS Registry Number 64347-03-1
EINECS 264-822-3
SMILES C(/C=C/C1C(N(C(C1)=O)CCNCCNCCNCCN2C(C(CC2=O)\C=C\CCCCCCCCCCCCCCCCCCCCCCCCCCCCCCCCCCCCCCCCCC)=O)=O)CCCCCCCCCCCCCCCCCCCCCCCCCCCCCCCCCCC
InChI 1S/C98H187N5O4/c1-3-5-7-9-11-13-15-17-19-21-23-25-27-29-31-33-35-37-39-41-42-43-44-45-46-48-50-52-54-56-58-60-62-64-66-68-70-72-74-76-78-80-82-94-92-96(105)103(98(94)107)90-88-101-86-84-99-83-85-100-87-89-102-95(104)91-93(97(102)106)81-79-77-75-73-71-69-67-65-63-61-59-57-55-53-51-49-47-40-38-36-34-32-30-28-26-24-22-20-18-16-14-12-10-8-6-4-2/h79-82,93-94,99-101H,3-78,83-92H2,1-2H3/b81-79+,82-80+
InChIKey MDMIGSHIEPEKDI-VISJHVAYSA-N
Market Analysis Reports
List of Reports Available for 1-[2-[[2-[[2-[[2-[2,5-Dioxo-3-(Tetratetracontenyl)-1-Pyrrolidinyl]Ethyl]Amino]Ethyl]Amino]Ethyl]Amino]Ethyl]-3-(Octatriacontenyl)Pyrrolidine-2,5-Dione
Related Products
1-[2-[[2-[[2-[[2-[2,5-Dioxo-3-(Tetracose...  1,1'-[Iminobis(Ethyleneiminoethylene)]Bi...  3-(Tetracosenyl)Succinic Anhydride  3-(Octatriacontenyl)Succinic Anhydride  3-(Tetracontenyl)Succinic Anhydride  2-Chloro-5-[[5-Hydroxy-4-[(2-Hydroxy-1-N...  2,3,4,4a,5,6,7,8-Octahydro-2,5,5-Trimeth...  5-Acetyl-4-Hydroxy-3-[1-[(4-Hydroxy-3-Ni...  5-Acetyl-3-[1-[(3-Amino-4-Hydroxyphenyl)...  Ethyl 2-Acetylnon-2-Enoate  3-(Isodecyloxy)Propiononitrile  2-Bromo-4-N-Butylacetophenone  13,20-Epoxy-1beta,11beta,12alpha,14-Tetr...  Mycorrhizin A  4,7-Dihydroxy-3-(3,7,11-Trimethyl-2,6,10...