Online Database of Chemicals from Around the World

3'''-O-[3-C-甲基-4-O-(1-氧代丙基)-2,6-二脱氧-alpha-L-阿拉伯糖-己糖吡喃糖苷]-7-甲基橄榄霉素 D
[CAS# 64967-61-9]

供应商
CAS#: 64967-61-9
产品: 3'''-O-[3-C-甲基-4-O-(1-氧代丙基)-2,6-二脱氧-alpha-L-阿拉伯糖-己糖吡喃糖苷]-7-甲基橄榄霉素 D
暂时没有厂家供应该产品。
基本信息
产品名称 3'''-O-[3-C-甲基-4-O-(1-氧代丙基)-2,6-二脱氧-alpha-L-阿拉伯糖-己糖吡喃糖苷]-7-甲基橄榄霉素 D
英文名 3'''-O-[3-C-Methyl-4-O-(1-Oxopropyl)-2,6-Dideoxy-alpha-L-Arabino-Hexopyranosyl]-7-Methylolivomycin D
别名 [6-[6-[6-[[6-[5-Acetoxy-4-(4-Hydroxy-5-Methoxy-6-Methyl-Tetrahydropyran-2-Yl)Oxy-6-Methyl-Tetrahydropyran-2-Yl]Oxy-3-(3,4-Dihydroxy-1-Methoxy-2-Oxo-Pentyl)-8,9-Dihydroxy-7-Methyl-1-Oxo-3,4-Dihydro-2H-Anthracen-2-Yl]Oxy]-3-Hydroxy-2-Methyl-Tetrahydropyran-4-Yl]Oxy-3-Hydroxy-2-Methyl-Tetrahydropyran-4-Yl]Oxy-4-Hydroxy-2,4-Dimethyl-Tetrahydropyran-3-Yl] Propanoate; Propanoic Acid [6-[[6-[[6-[[6-[[5-Acetoxy-4-[(4-Hydroxy-5-Methoxy-6-Methyl-2-Tetrahydropyranyl)Oxy]-6-Methyl-2-Tetrahydropyranyl]Oxy]-3-(3,4-Dihydroxy-1-Methoxy-2-Oxopentyl)-8,9-Dihydroxy-7-Methyl-1-Oxo-3,4-Dihydro-2H-Anthracen-2-Yl]Oxy]-3-Hydroxy-2-Methyl-4-Tetrahydropyranyl]Oxy]-3-Hydroxy-2-Methyl-4-Tetrahydropyranyl]Oxy]-4-Hydroxy-2,4-Dimethyl-3-Tetrahydropyranyl] Ester; Propionic Acid [6-[6-[6-[[6-[5-Acetoxy-4-(4-Hydroxy-5-Methoxy-6-Methyl-Tetrahydropyran-2-Yl)Oxy-6-Methyl-Tetrahydropyran-2-Yl]Oxy-3-(3,4-Dihydroxy-2-Keto-1-Methoxy-Pentyl)-8,9-Dihydroxy-1-Keto-7-Methyl-3,4-Dihydro-2H-Anthracen-2-Yl]Oxy]-3-Hydroxy-2-Methyl-Tetrahydropyran-4-Yl]Oxy-3-Hydroxy-2-Methyl-Tetrahydropyran-4-Yl]Oxy-4-Hydroxy-2,4-Dimethyl-Tetrahydropyran-3-Yl] Ester
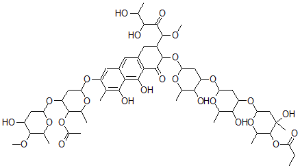
分子结构 CAS 登录号:64967-61-9, 3'''-O-[3-C-甲基-4-O-(1-氧代丙基)-2,6-二脱氧-alpha-L-阿拉伯糖-己糖吡喃糖苷]-7-甲基橄榄霉素 D
分子式 C58H84O26
分子量 1197.29
CAS 登录号 64967-61-9
分子行输入简码 SMILES C1=C6C(=C(O)C5=C1CC(C(OC4OC(C(O)C(OC3OC(C(O)C(OC2OC(C(OC(=O)CC)C(O)(C2)C)C)C3)C)C4)C)C5=O)C(OC)C(=O)C(O)C(O)C)C(=C(C(=C6)OC8OC(C(OC(=O)C)C(OC7OC(C(OC)C(O)C7)C)C8)C)C)O
国际化学标识码 InChI 1S/C58H84O26/c1-13-38(62)83-57-28(8)77-43(21-58(57,10)70)81-36-18-40(73-24(4)49(36)66)80-35-19-42(74-25(5)48(35)65)84-56-32(55(72-12)52(69)47(64)23(3)59)15-30-14-31-16-34(22(2)46(63)44(31)50(67)45(30)51(56)68)79-41-20-37(54(27(7)76-41)78-29(9)60)82-39-17-33(61)53(71-11)26(6)75-39/h14,16,23-28,32-33,35-37,39-43,47-49,53-57,59,61,63-67,70H,13,15,17-21H2,1-12H3
国际化学标识检索码 InChIKey BDOITUPYCCZVMN-UHFFFAOYSA-N
物理化学性质
密度 1.42g/cm3 (计算值)
沸点 1152.293°C at 760 mmHg (计算值)
闪点 310.775°C (计算值)
市场分析报告
请浏览3'''-O-[3-C-甲基-4-O-(1-氧代丙基)-2,6-二脱氧-alpha-L-阿拉伯糖-己糖吡喃糖苷]-7-甲基橄榄霉素 D市场分析报告总目录
相关产品
(6Z)-6-(2,6-二苯基-1,3-二嗪农-4...  (6Z)-6-[2,6-二(4-甲氧基苯基)-1,...  (5Z)-5-亚苄基-4-(4-甲氧基苯基)-2,...  3,3'-二氯联苯胺二硫酸盐  [3,3'-二甲基[1,1'-联苯]-4,4'-二...  1-[(1R,6R)-6-苄基-4,4-二甲基-1...  (24R)-5alpha-羊毛甾-8-烯-2alp...  (2R,3R,10S,12S,13R,14R,17...  (24R)-5alpha-羊毛甾-8-烯-2alp...  N-(2-羧基乙基)-N-[3-(癸基氧基)丙基]...  8-甲基-5-硝基喹啉  2-[3-[二(2-氯乙基)氨基]苯氧基]乙酸乙酯  3-[3-[二(2-氯乙基)氨基]苯氧基]丙酸  N,N-二(2-氯乙基)-4-甲硫基苯胺  1-氟-5-甲基屈