Online Database of Chemicals from Around the World

Normorphine-6-Glucuronide
[CAS# 65060-95-9]

Suppliers
CAS#: 65060-95-9
Product: Normorphine-6-Glucuronide
No suppilers available for the product.
Identification
Name Normorphine-6-Glucuronide
Synonyms Morphinan, Beta-D-Glucopyranosiduronic Acid Deriv.; Normorphine-6-Glucuronide
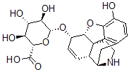
Molecular Structure CAS#: 65060-95-9, Normorphine-6-Glucuronide
Molecular Formula C22H25NO9
Molecular Weight 447.44
CAS Registry Number 65060-95-9
SMILES [C@]124[C@@H]6[C@H](NCC1)CC3=C2C(=C(O)C=C3)O[C@H]4[C@@H](O[C@@H]5O[C@@H]([C@@H](O)[C@H](O)[C@H]5O)C(=O)O)C=C6
InChI 1S/C22H25NO9/c24-11-3-1-8-7-10-9-2-4-12(19-22(9,5-6-23-10)13(8)17(11)31-19)30-21-16(27)14(25)15(26)18(32-21)20(28)29/h1-4,9-10,12,14-16,18-19,21,23-27H,5-7H2,(H,28,29)/t9-,10+,12-,14-,15-,16+,18-,19-,21+,22-/m0/s1
InChIKey ILORZZTWORORRX-LHWQPMLGSA-N
Market Analysis Reports
List of Reports Available for Normorphine-6-Glucuronide
Related Products
Dimethyl 1,3-Dioxolane-2,2-Diacetate  1H,1H,2'H,3H-Decafluorodipropyl Ether  1,1,2-Trifluoroethyl-2-Chloroethyl-2,2,3...  1,1,2-Trifluoro-2-Chloroethyl-2,2,3,3,4,...  1,1,2-Trifluoro-2-Chloroethyl-2,2,3,3,4,...  Lanolin, Ethoxylated, Acetate  Trisodium 4-[[1-Hydroxy-6-[[[(5-Hydroxy-...  Tetrasodium 4-[[1-Hydroxy-6-[[[[5-Hydrox...  Tetrasodium 4,4'-[Carbonylbis[Imino(1-Hy...  Lithium 2-Aminobenzothiazole-6-Sulphonat...  2-[4-(5-Amino-6-Methyl-2-Naphthyl)Phenyl...  Sodium 2-(4-Aminophenyl)-5-Methylbenzoth...  2-[[4-[[(2-Chlorobenzyl)]Ethylamino]-O-T...  Hydrogen 1-(3-Sulphonatopropyl)-2-[[3-(3...  N-[5-[Bis(2-Hydroxyethyl)Amino]-2-(4-Nit...