Online Database of Chemicals from Around the World

单端孢霉毒素 A40
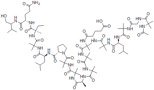
[CAS# 65216-21-9]

供应商
CAS#: 65216-21-9
产品: 单端孢霉毒素 A40
暂时没有厂家供应该产品。
基本信息
产品名称 单端孢霉毒素 A40
英文名 Trichotoxin A40
别名 Trichotoxin A 40
分子结构 CAS 登录号:65216-21-9, 单端孢霉毒素 A40
分子式 C80H139N19O22
分子量 1719.09
CAS 登录号 65216-21-9
分子行输入简码 SMILES [C@@H]1(N(C(=O)C(NC(=O)C(NC(=O)[C@@H](NC(=O)C(NC(=O)C(NC(=O)C(NC(=O)[C@@H](NC(=O)C(NC(=O)[C@@H](NC(=O)C(NC(=O)CNC(=O)C(NC(=O)C)(C)C)(C)C)CC(C)C)(C)C)CCC(=O)O)(C)C)(C)C)(C)C)C)(C)C)(C)C)CCC1)C(=O)N[C@H](C(=O)NC(C(=O)N[C@@](C(=O)N[C@H](C(=O)NC(C(C)C)CO)CCC(=O)N)(CC)C)(C)C)CC(C)C
国际化学标识码 InChI 1S/C80H139N19O22/c1-29-80(28,69(120)87-46(32-34-52(81)102)56(107)85-50(40-100)43(6)7)98-68(119)77(22,23)94-58(109)48(37-41(2)3)84-60(111)51-31-30-36-99(51)70(121)79(26,27)97-66(117)75(18,19)91-55(106)44(8)83-62(113)74(16,17)95-67(118)78(24,25)96-65(116)76(20,21)92-57(108)47(33-35-54(104)105)86-64(115)73(14,15)93-59(110)49(38-42(4)5)88-63(114)72(12,13)90-53(103)39-82-61(112)71(10,11)89-45(9)101/h41-44,46-51,100H,29-40H2,1-28H3,(H2,81,102)(H,82,112)(H,83,113)(H,84,111)(H,85,107)(H,86,115)(H,87,120)(H,88,114)(H,89,101)(H,90,103)(H,91,106)(H,92,108)(H,93,110)(H,94,109)(H,95,118)(H,96,116)(H,97,117)(H,98,119)(H,104,105)/t44-,46-,47-,48-,49-,50?,51-,80+/m0/s1
国际化学标识检索码 InChIKey NAMGSIXOXMZHEM-LVRWUTNGSA-N
市场分析报告
请浏览单端孢霉毒素 A40市场分析报告总目录
相关产品
2,6-二氯-9-硫杂双环(3.3.1)壬烷  N,N-二乙基-N'-(6-甲基-5H-吡啶并[3...  6,11-二甲基-5H-吡啶并(3',4':4,5...  (五氟苯基)乙醇酸  N,4-二甲基-1,2,5-恶二唑-3-甲酰胺  N-[5-(乙酰氨基)-4-[(2-溴-4,6-二...  5-[(4,6-二氯-1,3,5-三嗪-2-基)氨...  2-乙基-N-丙基己胺  4,8,11,15-四氮杂十八烷二腈  4-磺酸基邻苯二甲酸二氢铵  氧化铋钆钌  氧化铅铋钌  1-(2-氯-6-甲基苯基)-3-乙基脒基-脲盐酸...  2',3',4',5',6'-五氟苯乙酮  Isoleucinomycin