Online Database of Chemicals from Around the World

人生长激素 (177-191)
[CAS# 66004-58-8]

供应商
Alfa Chemistry 美国 询价快递  
+1 (201) 478-8534
inquiry@alfa-chemistry.com
化学品供销商(2012 年起)
chemBlink 标准供应商(2012 年起)
BOC Sciences 美国 询价快递  
+1 (631) 485-4226
info@bocsci.com
Skype 聊天
化学品供销商
chemBlink 集群供应商(2012 年起)
基本信息
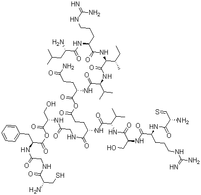
产品名称 人生长激素 (177-191)
英文名 Human growth hormone (177-191)
别名 Human Growth Hormone (177-191); L-Phenylalanine, L-Leucyl-L-Arginyl-L-Isoleucyl-L-Valyl-L-Glutaminyl-L-Cysteinyl-L-Arginyl-L-Seryl-L-Valyl-L-Alpha-Glutamylglycyl-L-Seryl-L-Cysteinylglycyl-, Cyclic (6-13)-Disulfide; Somatotropin (177-191)
分子结构 CAS 登录号:66004-58-8, 人生长激素 (177-191)
分子式 C69H114N22O21S2
分子量 1651.91
CAS 登录号 66004-58-8
分子行输入简码 SMILES [C@H](C(=O)OC([C@@H](NC(CNC([C@@H](NC([C@@H](NC([C@@H](NC([C@@H](NC([C@@H](N)C=S)=O)CCCNC(=N)N)=O)CO)=O)C(C)C)=O)CCC(=O)OC([C@@H](NC([C@@H](NC([C@@H](NC([C@@H](NC([C@@H](N)CC(C)C)=O)CCCNC(=N)N)=O)[C@H](CC)C)=O)C(C)C)=O)CCC(=O)N)=O)=O)=O)CO)=O)(NC(CNC([C@@H](N)CS)=O)=O)CC1=CC=CC=C1
国际化学标识码 InChI 1S/C69H114N22O21S2/c1-9-36(8)54(91-60(103)42(18-14-24-79-69(76)77)84-56(99)38(70)25-33(2)3)64(107)90-53(35(6)7)63(106)87-44(19-21-48(73)94)65(108)111-51(97)22-20-43(86-62(105)52(34(4)5)89-61(104)46(29-92)88-59(102)41(17-13-23-78-68(74)75)85-57(100)40(72)32-114)58(101)81-28-50(96)83-47(30-93)67(110)112-66(109)45(26-37-15-11-10-12-16-37)82-49(95)27-80-55(98)39(71)31-113/h10-12,15-16,32-36,38-47,52-54,92-93,113H,9,13-14,17-31,70-72H2,1-8H3,(H2,73,94)(H,80,98)(H,81,101)(H,82,95)(H,83,96)(H,84,99)(H,85,100)(H,86,105)(H,87,106)(H,88,102)(H,89,104)(H,90,107)(H,91,103)(H4,74,75,78)(H4,76,77,79)/t36-,38-,39-,40-,41-,42-,43-,44-,45-,46-,47-,52-,53-,54-/m0/s1
国际化学标识检索码 InChIKey CTQNLXWEQXSGSA-YBHXOQPNSA-N
物理化学性质
密度 1.47g/cm3 (计算值)
市场分析报告
请浏览人生长激素 (177-191)市场分析报告总目录
相关产品
庚酸十八烷基酯  2,6-二溴吡啶-3-醇  3-磺基-2-吡啶羧酸  2,3-吡啶二磺酸  4-(4-溴苯基)-2-甲基-噻唑  1-溴-4-(己氧基)-萘  P-[(1S)-1-氨基乙基]-膦酸  丁二烯-苯乙烯聚合物  硬脂酸钙  2-(甲硫基)-苯甲腈  (5Z,8Z,11Z,14Z)-5,8,11,14...  N-丁基-肼基硫代甲酰胺  N-(4,5,6,7-四氢-7-氧代苯并[b]噻吩...  4-(二氯甲基)-4-甲基-2,5-环己二烯-1-...  (6-羟基-2,2-二甲基-3a,5,6,6a-四...