Online Database of Chemicals from Around the World

Vacidin A
[CAS# 66120-71-6]

供应商
CAS#: 66120-71-6
产品: Vacidin A
暂时没有厂家供应该产品。
基本信息
产品名称 Vacidin A
英文名 Vacidin A
别名 (19Z,21Z,23E,25E,27E,29E,31E)-33-(4-Amino-3,5-Dihydroxy-6-Methyl-Tetrahydropyran-2-Yl)Oxy-17-[6-(4-Aminophenyl)-4-Hydroxy-1-Methyl-6-Oxo-Hexyl]-1,3,5,7,9,13,37-Heptahydroxy-18-Methyl-11,15-Dioxo-16,39-Dioxabicyclo[33.3.1]Nonatriaconta-19,21,23,25,27,29,31-Heptaene-36-Carboxylic Acid; (19Z,21Z,23E,25E,27E,29E,31E)-33-[(4-Amino-3,5-Dihydroxy-6-Methyl-2-Tetrahydropyranyl)Oxy]-17-[6-(4-Aminophenyl)-4-Hydroxy-1-Methyl-6-Oxohexyl]-1,3,5,7,9,13,37-Heptahydroxy-18-Methyl-11,15-Dioxo-16,39-Dioxabicyclo[33.3.1]Nonatriaconta-19,21,23,25,27,29,31-Heptaene-36-Carboxylic Acid; (19Z,21Z,23E,25E,27E,29E,31E)-33-(4-Amino-3,5-Dihydroxy-6-Methyl-Tetrahydropyran-2-Yl)Oxy-17-[6-(4-Aminophenyl)-4-Hydroxy-6-Keto-1-Methyl-Hexyl]-1,3,5,7,9,13,37-Heptahydroxy-11,15-Diketo-18-Methyl-16,39-Dioxabicyclo[33.3.1]Nonatriaconta-19,21,23,25,27,29,31-Heptaene-36-Carboxylic Acid
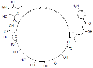
分子结构 CAS 登录号:66120-71-6, Vacidin A
分子式 C58H84N2O19
分子量 1113.30
CAS 登录号 66120-71-6
分子行输入简码 SMILES C4=C(C(=O)CC(O)CCC(C3OC(=O)CC(O)CC(=O)CC(O)CC(O)CC(O)CC(O)CC1(OC(C(C(O)C1)C(=O)O)CC(OC2OC(C(O)C(N)C2O)C)\C=C/C=C\C=C/C=C\C=C/C=C\C=C/C3C)O)C)C=CC(=C4)N
国际化学标识码 InChI 1S/C58H84N2O19/c1-34-16-14-12-10-8-6-4-5-7-9-11-13-15-17-46(77-57-54(72)52(60)53(71)36(3)76-57)31-49-51(56(73)74)48(69)33-58(75,79-49)32-45(67)28-43(65)26-41(63)24-40(62)25-42(64)27-44(66)30-50(70)78-55(34)35(2)18-23-39(61)29-47(68)37-19-21-38(59)22-20-37/h4-17,19-22,34-36,39-41,43-46,48-49,51-55,57,61-63,65-67,69,71-72,75H,18,23-33,59-60H2,1-3H3,(H,73,74)/b5-4-,8-6-,9-7-,12-10-,13-11-,16-14-,17-15-
国际化学标识检索码 InChIKey NVJUPMZQNWDHTL-HLNOYOEOSA-N
市场分析报告
请浏览Vacidin A市场分析报告总目录
相关产品
2,2-二乙基-2,3,5,10-四氢-1H-吡唑...  苯基甲基 1-硫代-beta-D-吡喃葡萄糖苷四乙...  2',3',5'-三脱氧腺苷  苯甲酰基精氨酸亮氨酰胺  1-脱氧-1-(苯基二硫代)-.beta.-D-吡...  马尿酰 N-羟基琥珀酰亚胺酯  1-(3-磺基丙基)-2-乙烯基吡啶鎓甜菜碱  四甲基铵四氟硼酸盐  氟-三甲基-锗烷  4-硝基苄基硫醇 S-硫酸酯  锝-99-锡-亚甲基二膦酸盐  1,1'-[氧基二(乙烷-1,2-二基氧基)]二[...  8-十二碳烯-1-醇乙酸酯与 1-十二烷醇混合物  2-甲基-5-苯基-3-(3-磺基丙基)苯并恶唑鎓...  N-(4-氨基-5-氯-2-羟基苯基)苯甲酰胺单盐...