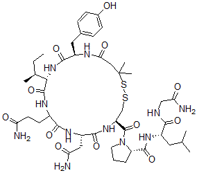
Identification
| Name |
1-Deaminopenicillamine-Oxytocin |
| Synonyms |
(2S)-1-[(4R,7S,13S,16R)-7-(2-Amino-2-Oxo-Ethyl)-10-(3-Amino-3-Oxo-Propyl)-16-[(4-Hydroxyphenyl)Methyl]-20,20-Dimethyl-6,9,12,15,18-Pentaoxo-13-Sec-Butyl-1,2-Dithia-5,8,11,14,17-Pentazacycloicosane-4-Carbonyl]-N-[(1S)-1-[(2-Amino-2-Oxo-Ethyl)Carbamoyl]-3-Methyl-Butyl]Pyrrolidine-2-Carboxamide; (2S)-N-[(1S)-1-[[(2-Amino-2-Oxoethyl)Amino]-Oxomethyl]-3-Methylbutyl]-1-[[(4R,7S,13S,16R)-7-(2-Amino-2-Oxoethyl)-10-(3-Amino-3-Oxopropyl)-16-[(4-Hydroxyphenyl)Methyl]-20,20-Dimethyl-6,9,12,15,18-Pentaoxo-13-Sec-Butyl-1,2-Dithia-5,8,11,14,17-Pentazacycloicos-4-Yl]-Oxomethyl]-2-Pyrrolidinecarboxamide; (2S)-1-[(4R,7S,13S,16R)-7-(2-Amino-2-Keto-Ethyl)-10-(3-Amino-3-Keto-Propyl)-16-(4-Hydroxybenzyl)-6,9,12,15,18-Pentaketo-20,20-Dimethyl-13-Sec-Butyl-1,2-Dithia-5,8,11,14,17-Pentazacycloicosane-4-Carbonyl]-N-[(1S)-1-[(2-Amino-2-Keto-Ethyl)Carbamoyl]-3-Methyl-Butyl]Pyrrolidine-2-Carboxamide |
|
| Molecular Structure |
 |
| Molecular Formula |
C45H69N11O12S2 |
| Molecular Weight |
1020.23 |
| CAS Registry Number |
6663-74-7 |
| SMILES |
[C@H]1(NC(=O)[C@H](NC(=O)CC(SSC[C@H](NC(=O)[C@@H](NC(=O)C(NC1=O)CCC(=O)N)CC(=O)N)C(=O)N2[C@H](C(=O)N[C@H](C(=O)NCC(=O)N)CC(C)C)CCC2)(C)C)CC3=CC=C(O)C=C3)[C@H](CC)C |
| InChI |
1S/C45H69N11O12S2/c1-7-24(4)37-43(67)51-27(14-15-33(46)58)39(63)52-30(19-34(47)59)40(64)54-31(44(68)56-16-8-9-32(56)42(66)53-28(17-23(2)3)38(62)49-21-35(48)60)22-69-70-45(5,6)20-36(61)50-29(41(65)55-37)18-25-10-12-26(57)13-11-25/h10-13,23-24,27-32,37,57H,7-9,14-22H2,1-6H3,(H2,46,58)(H2,47,59)(H2,48,60)(H,49,62)(H,50,61)(H,51,67)(H,52,63)(H,53,66)(H,54,64)(H,55,65)/t24-,27?,28-,29+,30-,31-,32-,37-/m0/s1 |
| InChIKey |
IZIWNJRAVSDMFB-DEOFYFBKSA-N |
|