Online Database of Chemicals from Around the World

Crassolide
[CAS# 66656-91-5]

供应商
CAS#: 66656-91-5
产品: Crassolide
暂时没有厂家供应该产品。
基本信息
产品名称 Crassolide
英文名 Crassolide
别名 Crassolide; Oxireno(13,14)Cyclotetradeca(1,2-B)Furan-13(1Ah)-One, 2,6,11-Tris(Acetyloxy)-2,3,6,7,10,11,11A,12,14A,14B-Decahydro-1A,5,9-Trimethyl-12-Methylene-, (1As-(1Ar*,2S*,4E,6R*,8E,11S*,11As*,14Ar*,14Br*))-
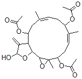
分子结构 CAS 登录号:66656-91-5, Crassolide
分子式 C26H36O9
分子量 492.57
CAS 登录号 66656-91-5
分子行输入简码 SMILES CC13OC1C2OC(O)C(C2C(OC(=O)C)CC(=C/CC(OC(=O)C)C(=C/CC3OC(=O)C)\C)/C)=C
国际化学标识码 InChI 1S/C26H36O9/c1-13-8-10-19(31-16(4)27)14(2)9-11-21(33-18(6)29)26(7)24(35-26)23-22(15(3)25(30)34-23)20(12-13)32-17(5)28/h8-9,19-25,30H,3,10-12H2,1-2,4-7H3/b13-8+,14-9-
国际化学标识检索码 InChIKey URSNRAUXXIOGIJ-MGDWIPCISA-N
市场分析报告
请浏览Crassolide市场分析报告总目录
相关产品
alpha-氨基-gamma,delta-二羟基己...  司替卡尼  5-苯基-3-硫代吗啉-4-基-2,8,9-三氮杂...  5-溴-2'-脱氧尿苷 5'-单磷酸酯  粘康酸内酯  1-(4-亚氨基-1,4-二氢-1-吡啶基)-1,...  新戊二醇丙烯酸酯苯甲酸酯  17-去溴-29-去(1-羟基乙基)-29-(羟基...  肌苷单磷酸酯二醛  芫花萜  3,12-二羟基十六烷酸  三(十六烷基)铝  6-甲基-2-[2-[(E)-(6-氧代-1-环己...  6-甲基-2-(2-丙-2-亚基肼基)-1H-嘧啶...  1,2-二(2,2-二甲基丙基)-3,4,5,6-...