Online Database of Chemicals from Around the World

6-O-(2-十四烷基棕榈酰)-N-乙酰基胞壁酰-L-丙氨酰-D-异谷氨酰胺
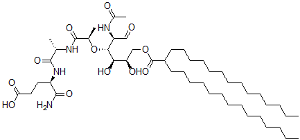
[CAS# 66880-80-6]

供应商
CAS#: 66880-80-6
产品: 6-O-(2-十四烷基棕榈酰)-N-乙酰基胞壁酰-L-丙氨酰-D-异谷氨酰胺
暂时没有厂家供应该产品。
基本信息
产品名称 6-O-(2-十四烷基棕榈酰)-N-乙酰基胞壁酰-L-丙氨酰-D-异谷氨酰胺
英文名 6-O-(2-Tetradecylhexadecanoyl)-N-acetylmuramyl-L-alanyl-D-isoglutamine
别名 (4R)-4-[[(2S)-2-[[(2R)-2-[(1R,2R,3R)-1-[(1R)-1-Acetamido-2-Oxo-Ethyl]-2,3-Dihydroxy-4-(2-Tetradecylhexadecanoyloxy)Butoxy]Propanoyl]Amino]Propanoyl]Amino]-5-Amino-5-Oxo-Pentanoic Acid; (4R)-4-[[(2S)-2-[[(2R)-2-[(1R,2R,3R)-1-[(1R)-1-Acetamido-2-Oxoethyl]-2,3-Dihydroxy-4-(1-Oxo-2-Tetradecylhexadecoxy)Butoxy]-1-Oxopropyl]Amino]-1-Oxopropyl]Amino]-5-Amino-5-Oxopentanoic Acid; (4R)-4-[[(2S)-2-[[(2R)-2-[(1R,2R,3R)-1-[(1R)-1-Acetamido-2-Keto-Ethyl]-2,3-Dihydroxy-4-(2-Myristylhexadecanoyloxy)Butoxy]Propanoyl]Amino]Propanoyl]Amino]-5-Amino-5-Keto-Valeric Acid
分子结构 CAS 登录号:66880-80-6, 6-O-(2-十四烷基棕榈酰)-N-乙酰基胞壁酰-L-丙氨酰-D-异谷氨酰胺
分子式 C49H90N4O12
分子量 927.27
CAS 登录号 66880-80-6
分子行输入简码 SMILES [C@H](O[C@H]([C@H](C=O)NC(=O)C)[C@@H]([C@@H](COC(=O)C(CCCCCCCCCCCCCC)CCCCCCCCCCCCCC)O)O)(C(N[C@H](C(N[C@H](CCC(O)=O)C(=O)N)=O)C)=O)C
国际化学标识码 InChI 1S/C49H90N4O12/c1-6-8-10-12-14-16-18-20-22-24-26-28-30-39(31-29-27-25-23-21-19-17-15-13-11-9-7-2)49(63)64-35-42(56)44(59)45(41(34-54)52-38(5)55)65-37(4)48(62)51-36(3)47(61)53-40(46(50)60)32-33-43(57)58/h34,36-37,39-42,44-45,56,59H,6-33,35H2,1-5H3,(H2,50,60)(H,51,62)(H,52,55)(H,53,61)(H,57,58)/t36-,37+,40+,41-,42+,44+,45+/m0/s1
国际化学标识检索码 InChIKey GMDKAFQKGCXHQQ-UQIULFSHSA-N
物理化学性质
密度 1.084g/cm3 (计算值)
沸点 1086.132°C at 760 mmHg (计算值)
闪点 610.671°C (计算值)
市场分析报告
请浏览6-O-(2-十四烷基棕榈酰)-N-乙酰基胞壁酰-L-丙氨酰-D-异谷氨酰胺市场分析报告总目录
相关产品
2-[[4-[(2-氰基-3-硝基苯基)偶氮]间甲...  3,3-二丁基-2,4,3-苯并二氧杂锡杂卓-1,...  3,5-二((2'-硝氧乙基)氨基羰基)吡啶  普匹卡星  6''-氟-2'',3''-二氢-2H,5H-螺[...  5-(3,4-二甲氧基苯基)恶唑烷-2-酮  [2-甲氧基-4-(1-丙烯基)苯氧基]三甲基硅烷  3-乙基苯并吡喃-2-酮  他洛柳酯  (Z,Z,Z)-6-[(4-丁氧基-1,4-二氧代...  顺式-(R,S)-1,2-二氨基环己烷铂硫酸盐  反式-(S,S)-1,2-二氨基环己烷铂硫酸盐  9-氧杂双环[6.1.0]壬-2-烯  (E)-2-癸烯-4-酸乙酯  2-二甲基氨基-1-苯基乙基苯乙酸酯