Identification
| Name |
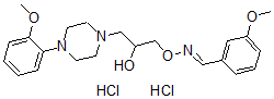
3-Methoxybenzaldehyde O-(2-Hydroxy-3-(4-(2-Methoxyphenyl)-1-Piperazinyl)Propyl)Oxime Dihydrochloride |
| Synonyms |
1-[(3-Methoxyphenyl)Methyleneamino]Oxy-3-[4-(2-Methoxyphenyl)Piperazin-1-Yl]Propan-2-Ol Dihydrochloride; 1-[(3-Methoxyphenyl)Methyleneamino]Oxy-3-[4-(2-Methoxyphenyl)-1-Piperazinyl]Propan-2-Ol Dihydrochloride; 1-(M-Anisylideneamino)Oxy-3-[4-(2-Methoxyphenyl)Piperazin-1-Yl]Propan-2-Ol Dihydrochloride |
|
| Molecular Structure |
 |
| Molecular Formula |
C22H31Cl2N3O4 |
| Molecular Weight |
472.41 |
| CAS Registry Number |
67254-80-2 |
| SMILES |
[H+].[H+].C(N1CCN(CC1)C2=CC=CC=C2OC)C(O)CO\N=C\C3=CC(=CC=C3)OC.[Cl-].[Cl-] |
| InChI |
1S/C22H29N3O4.2ClH/c1-27-20-7-5-6-18(14-20)15-23-29-17-19(26)16-24-10-12-25(13-11-24)21-8-3-4-9-22(21)28-2;;/h3-9,14-15,19,26H,10-13,16-17H2,1-2H3;2*1H/b23-15+;; |
| InChIKey |
XAZTWDOZTJWJFZ-RKIARVFCSA-N |
|