基本信息
| 产品名称 |
1-棕榈酰-2-油酰基磷脂酰胆碱 |
| 英文名 |
1-Palmitoyl-2-Oleoylphosphatidylcholine |
| 别名 |
[3-Hexadecanoyloxy-2-[(Z)-Octadec-9-Enoyl]Oxy-Propyl] 2-Trimethylammonioethyl Phosphate; [3-(1-Oxohexadecoxy)-2-[(Z)-1-Oxooctadec-9-Enoxy]Propyl] 2-Trimethylammonioethyl Phosphate; [3-Hexadecanoyloxy-2-[(Z)-Octadec-9-Enoyl]Oxy-Propyl] 2-Trimethylazaniumylethyl Phosphate |
|
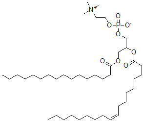
| 分子结构 |
 |
| 分子式 |
C42H82NO8P |
| 分子量 |
760.09 |
| CAS 登录号 |
6753-55-5 |
| 分子行输入简码 SMILES |
C(C(COC(CCCCCCCCCCCCCCC)=O)OC(CCCCCCC\C=C/CCCCCCCC)=O)O[P](OCC[N+](C)(C)C)(=O)[O-] |
| 国际化学标识码 InChI |
1S/C42H82NO8P/c1-6-8-10-12-14-16-18-20-21-23-25-27-29-31-33-35-42(45)51-40(39-50-52(46,47)49-37-36-43(3,4)5)38-48-41(44)34-32-30-28-26-24-22-19-17-15-13-11-9-7-2/h20-21,40H,6-19,22-39H2,1-5H3/b21-20- |
| 国际化学标识检索码 InChIKey |
WTJKGGKOPKCXLL-MRCUWXFGSA-N |
|