Online Database of Chemicals from Around the World

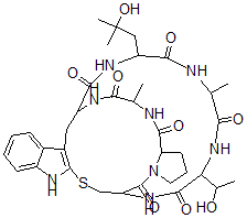
环(L-丙氨酰-D-苏氨酰-L-半胱氨酰(1)-L-脯氨酰-L-丙氨酰-L-色氨酰2(1)-4-羟基-L-亮氨酰-)
[CAS# 67739-84-8]

供应商
CAS#: 67739-84-8
产品: 环(L-丙氨酰-D-苏氨酰-L-半胱氨酰(1)-L-脯氨酰-L-丙氨酰-L-色氨酰2(1)-4-羟基-L-亮氨酰-)
暂时没有厂家供应该产品。
基本信息
产品名称 环(L-丙氨酰-D-苏氨酰-L-半胱氨酰(1)-L-脯氨酰-L-丙氨酰-L-色氨酰2(1)-4-羟基-L-亮氨酰-)
英文名 Cyclo(L-Ala-D-Thr-L-Cys(1)-L-Pro-L-Ala-L-Trp2(1)-4-Hydroxy-L-Leu-)
别名 Phalloidin, 4-L-Proline-7-(4-Hydroxy-L-Leucine)-; Prophalloin
分子结构 CAS 登录号:67739-84-8, 环(L-丙氨酰-D-苏氨酰-L-半胱氨酰(1)-L-脯氨酰-L-丙氨酰-L-色氨酰2(1)-4-羟基-L-亮氨酰-)
分子式 C35H48N8O9S
分子量 756.87
CAS 登录号 67739-84-8
分子行输入简码 SMILES C5=C4C3=C(SCC1NC(=O)C(NC(=O)C(NC(=O)C(NC(=O)C(NC(=O)C(NC(=O)C2N(C1=O)CCC2)C)C3)CC(O)(C)C)C)C(O)C)[NH]C4=CC=C5
国际化学标识码 InChI 1S/C35H48N8O9S/c1-16-27(45)38-22-13-20-19-9-6-7-10-21(19)41-33(20)53-15-24(34(51)43-12-8-11-25(43)31(49)37-16)40-32(50)26(18(3)44)42-28(46)17(2)36-30(48)23(39-29(22)47)14-35(4,5)52/h6-7,9-10,16-18,22-26,41,44,52H,8,11-15H2,1-5H3,(H,36,48)(H,37,49)(H,38,45)(H,39,47)(H,40,50)(H,42,46)
国际化学标识检索码 InChIKey VXROMVCOGJAUJL-UHFFFAOYSA-N
物理化学性质
密度 1.438g/cm3 (计算值)
沸点 1277.28°C at 760 mmHg (计算值)
闪点 726.273°C (计算值)
市场分析报告
请浏览环(L-丙氨酰-D-苏氨酰-L-半胱氨酰(1)-L-脯氨酰-L-丙氨酰-L-色氨酰2(1)-4-羟基-L-亮氨酰-)市场分析报告总目录
相关产品
1-(2-苯基乙基)缩二脲  1-甲基-1-(2-苯基乙基)缩二脲  1-(3-苯基丙基)缩二脲  1-(4-苯基丁基)缩二脲  1-(4-甲氧基苯乙基)缩二脲  (甲硫基)乙酸丁酯  1-(1,2,3,4,5,6,7,8-八氢-8,8...  4-甲基-2-丙基己-2-烯-1-醇  4-甲基-2-丙基己-2-烯基乙酸酯  6-重氮基-5,6-二氢-5-氧代萘-1-磺酸乙酯  二(3-氨基丙基)苯基膦  3-(喹啉-4-基)丙酸  2,2'-[氧基二(亚甲基)]二[2-[(乙酰氧基...  噻嗪并异喹诺酮  1-氯-1,1,3,3,3-五氟丙烷