Online Database of Chemicals from Around the World

甲基 4-硫代-alpha-麦芽糖苷
[CAS# 68667-09-4]

供应商
CAS#: 68667-09-4
产品: 甲基 4-硫代-alpha-麦芽糖苷
暂时没有厂家供应该产品。
基本信息
产品名称 甲基 4-硫代-alpha-麦芽糖苷
英文名 Methyl 4-Thio-alpha-Maltoside
别名 (2R,3R,4S,5S,6R)-2-[(2R,3R,4R,5S,6R)-3,4-Dihydroxy-6-(Hydroxymethyl)-2-Methyl-5-Sulfanyl-Tetrahydropyran-2-Yl]Oxy-6-(Hydroxymethyl)Tetrahydropyran-3,4,5-Triol; (2R,3R,4S,5S,6R)-2-[[(2R,3R,4R,5S,6R)-3,4-Dihydroxy-6-(Hydroxymethyl)-5-Mercapto-2-Methyl-2-Tetrahydropyranyl]Oxy]-6-(Hydroxymethyl)Tetrahydropyran-3,4,5-Triol; (2R,3R,4S,5S,6R)-2-[(2R,3R,4R,5S,6R)-3,4-Dihydroxy-5-Mercapto-2-Methyl-6-Methylol-Tetrahydropyran-2-Yl]Oxy-6-Methylol-Tetrahydropyran-3,4,5-Triol
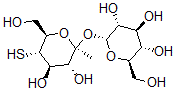
分子结构 CAS 登录号:68667-09-4, 甲基 4-硫代-alpha-麦芽糖苷
分子式 C13H24O10S
分子量 372.39
CAS 登录号 68667-09-4
分子行输入简码 SMILES [C@]2(O[C@@H]1[C@H](O)[C@@H](O)[C@H](O)[C@H](O1)CO)([C@H](O)[C@@H](O)[C@H](S)[C@H](O2)CO)C
国际化学标识码 InChI 1S/C13H24O10S/c1-13(11(20)9(19)10(24)5(3-15)22-13)23-12-8(18)7(17)6(16)4(2-14)21-12/h4-12,14-20,24H,2-3H2,1H3/t4-,5-,6-,7+,8-,9+,10-,11-,12-,13-/m1/s1
国际化学标识检索码 InChIKey NQSLVTWMEOTAEO-IJVUFQDPSA-N
物理化学性质
密度 1.645g/cm3 (计算值)
沸点 665.832°C at 760 mmHg (计算值)
闪点 356.483°C (计算值)
市场分析报告
请浏览甲基 4-硫代-alpha-麦芽糖苷市场分析报告总目录
相关产品
C-箭毒碱 III  2,3,5,6-四氯硫代苯甲醚  1,3-三亚甲基胸腺嘧啶环四聚体  曲古抑菌素 C  氯拉必利  2-(1H-吲哚-3-基)-N,N-二甲基-乙胺  3,6-二(1-苯基乙基)邻二甲苯  壬烯酮  1,1'-(二氯乙烯亚基)二[氯苯]  alpha-D-吡喃葡萄糖基-alpha-D-吡喃...  2,3,4,5-四羟基己二酸二乙酯  (S)-[2,8-二(三氟甲基)喹啉-4-基]-[...  新癸酸银  3a,4,5,6,7,7alpha-六氢-4,7-...  乙酸辛酯单(甲基乙酸酯)衍生物