基本信息
| 产品名称 |
N,N,N,N',N',N'-六丁基-1,6-己烷二铵二氢氧化物 |
| 英文名 |
N,N,N,N',N',N'-Hexabutyl-1,6-hexanediaminium dihydroxide |
| 别名 |
Bisquat dihydroxide; N,N,N,N',N',N'-Hexabutylhexamethylenediammonium dihydroxide solution; N,N,N,N',N',N'-Hexa-n-butylhexamethylenediammonium dihydroxide |
|
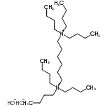
| 分子结构 |
 |
| 分子式 |
C30H68N2O2 |
| 分子量 |
488.87 |
| CAS 登录号 |
69762-88-5 |
| 分子行输入简码 SMILES |
CCCC[N+](CCCC)(CCCC)CCCCCC[N+](CCCC)(CCCC)CCCC.[OH-].[OH-] |
| 国际化学标识码 InChI |
1S/C30H66N2.2H2O/c1-7-13-23-31(24-14-8-2,25-15-9-3)29-21-19-20-22-30-32(26-16-10-4,27-17-11-5)28-18-12-6;;/h7-30H2,1-6H3;2*1H2/q+2;;/p-2 |
| 国际化学标识检索码 InChIKey |
ALYGOOWRCDZDTJ-UHFFFAOYSA-L |
|