Online Database of Chemicals from Around the World

Dodecyl-4-(4-Sulfophenoxy)-Benzenesulfonic Acid Ammonium Salt (1:2)
[CAS# 69834-23-7]

Suppliers
Achemica Switzerland Inquire  
+41 (24) 466-2929
contact@achemica.com
Chemical manufacturer since 2010
Alfa Chemistry USA Inquire  
+1 (201) 478-8534
inquiry@alfa-chemistry.com
Chemical distributor since 2012
chemBlink standard supplier since 2012
BOC Sciences USA Inquire  
+1 (631) 485-4226
info@bocsci.com
Skype Chat
Chemical distributor
chemBlink massive supplier since 2012
Identification
Name Dodecyl-4-(4-Sulfophenoxy)-Benzenesulfonic Acid Ammonium Salt (1:2)
Synonyms Diammonium 2-Dodecyl-4-(4-Sulfonatophenoxy)Benzenesulfonate; Diammonium 2-Lauryl-4-(4-Sulfonatophenoxy)Benzenesulfonate; Benzenesulfonic Acid, Dodecyl-4-(4-Sulfophenoxy)-, Diammonium Salt
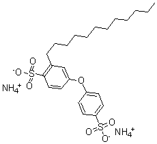
Molecular Structure CAS#: 69834-23-7, Dodecyl-4-(4-Sulfophenoxy)-Benzenesulfonic Acid Ammonium Salt (1:2)
Molecular Formula C24H40N2O7S2
Molecular Weight 532.71
CAS Registry Number 69834-23-7
EINECS 274-145-5
SMILES C2=C(OC1=CC=C([S]([O-])(=O)=O)C=C1)C=CC(=C2CCCCCCCCCCCC)[S]([O-])(=O)=O.[NH4+].[NH4+]
InChI 1S/C24H34O7S2.2H3N/c1-2-3-4-5-6-7-8-9-10-11-12-20-19-22(15-18-24(20)33(28,29)30)31-21-13-16-23(17-14-21)32(25,26)27;;/h13-19H,2-12H2,1H3,(H,25,26,27)(H,28,29,30);2*1H3
InChIKey BDEGCBYFVTXJKF-UHFFFAOYSA-N
Properties
Boiling point 732.9°C at 760 mmHg (Cal.)
Flash point 397°C (Cal.)
Market Analysis Reports
List of Reports Available for Dodecyl-4-(4-Sulfophenoxy)-Benzenesulfonic Acid Ammonium Salt (1:2)
Related Products
N-(2-(5,6-Dimethoxy-1H-Indol-3-Yl)Ethyl)...  L-Tyrosine, sodium salt (1:2)  (S)-6-Amino-2-[[(Phenylmethoxy)Carbonyl]...  1-(1-Ethoxyethoxy)-2-Methyl-Propane  4-Iodo-N,N-Dimethyl-Benzenamine  2-Methoxy-N-(Phenylmethyl)-Benzenemethan...  (+)-Tubocurarine chloride hydrochloride ...  1-(2-Bromophenyl)-1H-Pyrrole  3-(3,5-Dichlorophenyl)-1-(2-Ethoxy-1-Oxo...  4-(2-Furyl)-2-Butanon  Tris(Hydroxymethyl)Aminomethane Phosphat...  Tetrafluorosuccinic Anhydride  5,5-Dichlorobarbituric Acid  N-(1-Oxido-2-Pyridinyl)-Acetamide  Octadecanoicacid, Tin(2+) Salt (2:1)