Online Database of Chemicals from Around the World

N-[1-[(2-amino-2-oxo-ethyl)amino]-4-methyl-1-oxo-pentan-2-yl]-1-[[7-(2-amino-2-oxo-ethyl)-10-(3-amino-3-oxo-propyl)-13-butan-2-yl-16-[(4-methoxyphenyl)methyl]-20,20-dimethyl-6,9,12,15,18-pentaoxo-1,2-dithia-5,8,11,14,17-pentazacycloicos-4-yl]carbonyl]pyrrolidine-2-carboxamide
[CAS# 70056-24-5]

Suppliers
CAS#: 70056-24-5
Product: N-[1-[(2-amino-2-oxo-ethyl)amino]-4-methyl-1-oxo-pentan-2-yl]-1-[[7-(2-amino-2-oxo-ethyl)-10-(3-amino-3-oxo-propyl)-13-butan-2-yl-16-[(4-methoxyphenyl)methyl]-20,20-dimethyl-6,9,12,15,18-pentaoxo-1,2-dithia-5,8,11,14,17-pentazacycloicos-4-yl]carbonyl]pyrrolidine-2-carboxamide
No suppilers available for the product.
Identification
Name N-[1-[(2-amino-2-oxo-ethyl)amino]-4-methyl-1-oxo-pentan-2-yl]-1-[[7-(2-amino-2-oxo-ethyl)-10-(3-amino-3-oxo-propyl)-13-butan-2-yl-16-[(4-methoxyphenyl)methyl]-20,20-dimethyl-6,9,12,15,18-pentaoxo-1,2-dithia-5,8,11,14,17-pentazacycloicos-4-yl]carbonyl]pyrrolidine-2-carboxamide
Synonyms 1-[7-(2-Amino-2-Oxo-Ethyl)-10-(3-Amino-3-Oxo-Propyl)-16-[(4-Methoxyphenyl)Methyl]-20,20-Dimethyl-6,9,12,15,18-Pentaoxo-13-Sec-Butyl-1,2-Dithia-5,8,11,14,17-Pentazacycloicosane-4-Carbonyl]-N-[1-[(2-Amino-2-Oxo-Ethyl)Carbamoyl]-3-Methyl-Butyl]Pyrrolidine-2-Carboxamide; N-[1-[[(2-Amino-2-Oxoethyl)Amino]-Oxomethyl]-3-Methylbutyl]-1-[[7-(2-Amino-2-Oxoethyl)-10-(3-Amino-3-Oxopropyl)-16-[(4-Methoxyphenyl)Methyl]-20,20-Dimethyl-6,9,12,15,18-Pentaoxo-13-Sec-Butyl-1,2-Dithia-5,8,11,14,17-Pentazacycloicos-4-Yl]-Oxomethyl]-2-Pyrrolidinecarboxamide; 1-[7-(2-Amino-2-Keto-Ethyl)-10-(3-Amino-3-Keto-Propyl)-6,9,12,15,18-Pentaketo-16-(4-Methoxybenzyl)-20,20-Dimethyl-13-Sec-Butyl-1,2-Dithia-5,8,11,14,17-Pentazacycloicosane-4-Carbonyl]-N-[1-[(2-Amino-2-Keto-Ethyl)Carbamoyl]-3-Methyl-Butyl]Pyrrolidine-2-Carboxamide
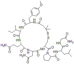
Molecular Structure CAS#: 70056-24-5, N-[1-[(2-amino-2-oxo-ethyl)amino]-4-methyl-1-oxo-pentan-2-yl]-1-[[7-(2-amino-2-oxo-ethyl)-10-(3-amino-3-oxo-propyl)-13-butan-2-yl-16-[(4-methoxyphenyl)methyl]-20,20-dimethyl-6,9,12,15,18-pentaoxo-1,2-dithia-5,8,11,14,17-pentazacycloicos-4-yl]carbonyl]pyrrolidine-2-carboxamide
Molecular Formula C46H71N11O12S2
Molecular Weight 1034.25
CAS Registry Number 70056-24-5
SMILES C3=C(CC1NC(=O)CC(SSCC(NC(=O)C(NC(=O)C(NC(=O)C(NC1=O)C(CC)C)CCC(=O)N)CC(=O)N)C(=O)N2C(C(=O)NC(C(=O)NCC(=O)N)CC(C)C)CCC2)(C)C)C=CC(=C3)OC
InChI 1S/C46H71N11O12S2/c1-8-25(4)38-44(67)52-28(15-16-34(47)58)40(63)53-31(20-35(48)59)41(64)55-32(45(68)57-17-9-10-33(57)43(66)54-29(18-24(2)3)39(62)50-22-36(49)60)23-70-71-46(5,6)21-37(61)51-30(42(65)56-38)19-26-11-13-27(69-7)14-12-26/h11-14,24-25,28-33,38H,8-10,15-23H2,1-7H3,(H2,47,58)(H2,48,59)(H2,49,60)(H,50,62)(H,51,61)(H,52,67)(H,53,63)(H,54,66)(H,55,64)(H,56,65)
InChIKey BSYMJBOYGSOMOO-UHFFFAOYSA-N
Properties
Density 1.218g/cm3 (Cal.)
Boiling point 1469.192°C at 760 mmHg (Cal.)
Flash point 842.337°C (Cal.)
Market Analysis Reports
List of Reports Available for N-[1-[(2-amino-2-oxo-ethyl)amino]-4-methyl-1-oxo-pentan-2-yl]-1-[[7-(2-amino-2-oxo-ethyl)-10-(3-amino-3-oxo-propyl)-13-butan-2-yl-16-[(4-methoxyphenyl)methyl]-20,20-dimethyl-6,9,12,15,18-pentaoxo-1,2-dithia-5,8,11,14,17-pentazacycloicos-4-yl]carbonyl]pyrrolidine-2-carboxamide
Related Products
1,1,5,6-Tetramethylindan-4-Ol  3,3,6,7-Tetramethylindan-5-Ol  2-Methyl-1-Nonen-3-Yne  (Z)-4-Ethyl-Hexa-2-Yn-4-Ene  4-Phenyl-5-(2-Phenylquinolin-4-Yl)-4H-1,...  (Trichlorovinyl)Benzene  Ammonium 2-(4-Chlorophenyl)Benzoxazole-5...  Adenylyl-(2'-5')-Adenylyl-(2'-5')Adenosi...  5,6-Dihydro-1-Methyl-5,6-Dioxo-2-Indolin...  Ornithine  2-Amino-3-Carbamoyl-Propanoic Acid  L-Histidine-2,5-3H  Benzyltris(2-Hydroxyethyl)Ammonium Chlor...  4'-Bromo-(1,1'-Biphenyl)-3,4-Diol  1-(4-Methylphenyl)-4-Pentyl-Benzene