Online Database of Chemicals from Around the World

S-[2,3-二(棕榈酰氧基)丙基]-N-棕榈酰半胱氨酸
[CAS# 70512-46-8]

供应商
Alfa Chemistry 美国 询价快递  
+1 (201) 478-8534
inquiry@alfa-chemistry.com
化学品供销商(2012 年起)
chemBlink 标准供应商(2012 年起)
International Laboratory Limited 美国 询价快递  
+1 (650) 278-9963
admin@intlab.org
化学品生产商(2002 年起)
基本信息
产品名称 S-[2,3-二(棕榈酰氧基)丙基]-N-棕榈酰半胱氨酸
英文名 S-[2,3-Bis(palmitoyloxy)propyl]-N-palmitoylcysteine
别名 3-(2,3-bis(palmitoyloxy)propylthio)-2-palmitamidopropanoic acid; PALMITOYL-S-[2,3-BIS(PALMITOYLOXY)-(2RS)-PROPYL]-L-CYSTEINE
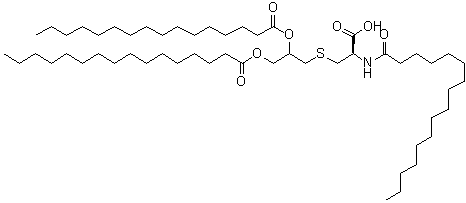
分子结构 CAS 登录号:70512-46-8, S-[2,3-二(棕榈酰氧基)丙基]-N-棕榈酰半胱氨酸
分子式 C54H103NO7S
分子量 910.46
CAS 登录号 70512-46-8
分子行输入简码 SMILES O=C(OC(CSCC(NC(=O)CCCCCCCCCCCCCCC)C(=O)O)COC(=O)CCCCCCCCCCCCCCC)CCCCCCCCCCCCCCC
国际化学标识码 InChI 1S/C54H103NO7S/c1-4-7-10-13-16-19-22-25-28-31-34-37-40-43-51(56)55-50(54(59)60)48-63-47-49(62-53(58)45-42-39-36-33-30-27-24-21-18-15-12-9-6-3)46-61-52(57)44-41-38-35-32-29-26-23-20-17-14-11-8-5-2/h49-50H,4-48H2,1-3H3,(H,55,56)(H,59,60)
国际化学标识检索码 InChIKey PZFZLRNAOHUQPH-UHFFFAOYSA-N
物理化学性质
密度 0.966g/cm3 (计算值)
沸点 907.775°C at 760 mmHg (计算值)
闪点 502.804°C (计算值)
市场分析报告
请浏览S-[2,3-二(棕榈酰氧基)丙基]-N-棕榈酰半胱氨酸市场分析报告总目录
相关产品
6'-[乙基(己基)氨基]-2'-[甲基(苯基)氨...  (4E,5E)-4,5-二乙亚基-2,2-二甲基-...  精氨酸-[(2R,3S)-3-甲基-2-环氧乙烷基...  N-(2-羟基十二烷基)-N-(2-羟基乙基)-b...  N-(2-羟基乙基)-N-(2-羟基十六烷基)-b...  钠3-[(2-羟基乙基)(2-羟基十六烷基)氨基]...  钠3-[(2-羟基乙基)(2-羟基十八烷基)氨基]...  2-(环丙基氨基)-1-(3,4-二羟基苯基)乙酮  1-乙基-1H-苯并咪唑-4-胺  6-甲基-2H-1,2,4,5-T乙基r氮杂卓-3...  2-(3-噻吩基)-1H-咪唑-4-胺  4-溴-2,5-联苯二醇  1-[3-(氨基氧基)-1-丙炔-1-基]-2-甲...  5,7-二氟-1H-吲哚-2-胺  钾三氟(4-乙烯基苯基)硼酸酯(1-)