Online Database of Chemicals from Around the World

环(氨基庚酸-环(半胱氨酰-苯丙氨酰-D-色氨酰-赖氨酰-苏氨酰-半胱氨酰))
[CAS# 70706-79-5]

供应商
CAS#: 70706-79-5
产品: 环(氨基庚酸-环(半胱氨酰-苯丙氨酰-D-色氨酰-赖氨酰-苏氨酰-半胱氨酰))
暂时没有厂家供应该产品。
基本信息
产品名称 环(氨基庚酸-环(半胱氨酰-苯丙氨酰-D-色氨酰-赖氨酰-苏氨酰-半胱氨酰))
英文名 Cyclo(Aminoheptanoic Acid-Cyclo(Cysteinyl-Phenylalanyl-D-Tryptophyl-Lysyl-Threonyl-Cysteinyl))
别名 7-(4-Aminobutyl)-13-(Benzyl)-4-(1-Hydroxyethyl)-10-(1H-Indol-3-Ylmethyl)-28,29-Dithia-2,5,8,11,14,17,25-Heptazabicyclo[14.10.4]Triacontane-3,6,9,12,15,18,26-Heptone; Cyclo(Aminoheptanoic Acid-Cyclo(Cys-Phe-D-Trp-Lys-Thr-Cys)); Cyclo(Aminoheptanoic Acid-Cyclo(Cysteinyl-Phenylalanyl-D-Tryptophyl-Lysyl-Threonyl-Cysteinyl))
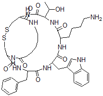
分子结构 CAS 登录号:70706-79-5, 环(氨基庚酸-环(半胱氨酰-苯丙氨酰-D-色氨酰-赖氨酰-苏氨酰-半胱氨酰))
分子式 C43H59N9O8S2
分子量 894.11
CAS 登录号 70706-79-5
分子行输入简码 SMILES C1=C(C2=C([NH]1)C=CC=C2)CC3NC(=O)C(NC(=O)C4NC(=O)CCCCCCNC(=O)C(NC(=O)C(NC(=O)C(NC3=O)CCCCN)C(O)C)CSSC4)CC5=CC=CC=C5
国际化学标识码 InChI 1S/C43H59N9O8S2/c1-26(53)37-43(60)51-34-24-61-62-25-35(47-36(54)18-7-2-3-12-20-45-38(34)55)42(59)49-32(21-27-13-5-4-6-14-27)40(57)50-33(22-28-23-46-30-16-9-8-15-29(28)30)41(58)48-31(39(56)52-37)17-10-11-19-44/h4-6,8-9,13-16,23,26,31-35,37,46,53H,2-3,7,10-12,17-22,24-25,44H2,1H3,(H,45,55)(H,47,54)(H,48,58)(H,49,59)(H,50,57)(H,51,60)(H,52,56)
国际化学标识检索码 InChIKey DJBKQPWDFYQVPB-UHFFFAOYSA-N
物理化学性质
密度 1.214g/cm3 (计算值)
沸点 1342.862°C at 760 mmHg (计算值)
闪点 765.935°C (计算值)
市场分析报告
请浏览环(氨基庚酸-环(半胱氨酰-苯丙氨酰-D-色氨酰-赖氨酰-苏氨酰-半胱氨酰))市场分析报告总目录
相关产品
抑肽基-精氨酸甲酯  谷氨酰-抑肽基  天冬氨酰-抑肽基  胆绿素XIIIgamma  2-(1,3-二噻戊环-2-基)苯基甲基氨基甲酸酯  3-甲基-1,3-二氮杂螺[4.5]癸烷-2,4-...  1,5-二(2-甲氧基-4-硝基-5-磺基苯基)-...  2-十五烷氧基乙醇  2-乙基己基二(2-羟基乙基)磷酸酯  1,4-二((2-((2-羟基乙基)氨基)乙基)氨...  二乙基 2-二乙氧基磷酰丁二酸酯  (1aalpha,3aalpha,9bbeta)-...  (Z,2R)-2-羟基-N-[(2S,4E,8E)...  Tsukushinamine A  1-(二苯基甲基)-4-(2-丙烯基)哌嗪二盐酸盐