Identification
| Name |
N-(3-Butoxy-3-Oxopropyl)-N-(3-Chloropropyl)-beta-Alanine Butyl Ester |
| Synonyms |
Butyl 3-[(3-Butoxy-3-Oxo-Propyl)-(3-Chloropropyl)Amino]Propanoate; 3-[(3-Butoxy-3-Oxopropyl)-(3-Chloropropyl)Amino]Propanoic Acid Butyl Ester; 3-[(3-Butoxy-3-Keto-Propyl)-(3-Chloropropyl)Amino]Propionic Acid Butyl Ester |
|
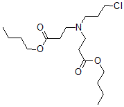
| Molecular Structure |
 |
| Molecular Formula |
C17H32ClNO4 |
| Molecular Weight |
349.90 |
| CAS Registry Number |
71042-70-1 |
| SMILES |
C(Cl)CCN(CCC(=O)OCCCC)CCC(=O)OCCCC |
| InChI |
1S/C17H32ClNO4/c1-3-5-14-22-16(20)8-12-19(11-7-10-18)13-9-17(21)23-15-6-4-2/h3-15H2,1-2H3 |
| InChIKey |
NLSRZAHCPQNPSJ-UHFFFAOYSA-N |
|